Чтение онлайн

на главную - закладки

Жанры

Шрифт:

Главным условием выбора размеров широкой части сопла Лаваля для истечения рабочего тела является безотрывность его от стенок насадки. Поэтому угол раствора конуса должен иметь предел в 12o, это помогает устранить существенные потери вследствие расширения газа (пара).

Рассмотрим процессы, происходящие при работе комбинированного сопла. В том случае, когда давление внешней среды po < pk,скорость и давление потока в узкой плоскости сопел являются критическими.

Конструкция сопла Лаваля позволяет для каждого отношения o < po/p1 < b получить полное расширение вещества в границах значения давлений [po, pi]. При этом в выходном сечении сопла энергия не теряется, а при выравнивании давления рабочего тела и внешней среды скорость потока становится сверхзвуковой, что необходимо для применения сопла на практике. В таком случае массовый расход становится максимальным, его величина зависит от площади наименьшего сечения сопла (Smin).

В узкой части сопла (называемой горловиной) устанавливаются критические значения параметров Vk,Tk, pk, wk= wзв, Gmax.(где Wзв– местная скорость звука). Движение потока по расширяющейся части характеризуется тем, что газ расширяется далее в границах [ p2k, p1], повышается скорость в интервале [wk = Wзв, w > wk] (т. е. до значений w > Wзв), что ведет к уменьшению давления, но при этом удельный объем увеличивается (т. е. v >vk , p< pk).

Расширяющаяся часть насадки может выполнять функцию диффузора, если в узкой плоскости w < wзв (для po / p1> bk).

55. Дросселирование газа и уравнение процесса

Для водяного пара критическая температура составляет Тк = 647 К, соответственно, Тинв > 4400 К (температура инверсии). В процессе дросселирования всегда происходит охлаждение водяного пара, это связано с полной диссоциацией молекул пара при таких не очень высоких значениях данной температуры инверсии.

Дросселирование водяного пара характеризуется следующими свойствами, полученными из анализа диаграммы (i, s):

1) для любого состояния пара дросселирование всегда понижает температуру водяного пара;

2) дросселирование влажных паров при небольших давлениях сопровождается переходом из увлажненного в сухое, а затем в перегретое состояние. Влажные пары при высокихдавленияхсначала еще более увлажняются, но потом такжеобразуют сухую и перегретую фазу;

3) дросселирование перегретых паров при больших давлениях (если температура перегрева невелика) сопровождается прохождением ими несколькихфаз (сухого насыщенного, влажного, сухого и наконец, перегретого). Последнее состояние пара характеризуется низкими значениями температуры и давления. В общем случае при дросселировании перегретые пары сохраняют свое перегретое состояние, если в начале процесса их давления были высокими.

Обычно на is-диаграмме процесс дросселирования i1 = i2 представляет собой горизонтальную линию, направленную в сторону возрастания энтропии (вследствие необратимости процесса).

Известно, что давление перегретого пара (и его полезная работа) в процессе мятия снижается.

аад < aдрос, где адрос температурный эффект адиабатного необратимого расширения (т. е. дросселирования), а аад– эффект адиабатного обратимого расширения. Отсюда при одном давлении dp имеем:

dTдрос < dTад на величину v/cp.

56. Передача теплоты через шаровую стенку

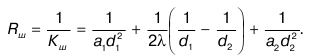
Пусть имеется полый шар с внутренним и внешним радиусами соответственно г1 и г2 коэффициент теплопроводности I которого постоянен. При заданных граничных условиях третьего рода будут также определены коэффициенты теплоотдачи на поверхностях шара a1 и a2 и температуры внутренней и внешней сред соответственно Tж1 и Tж2. Коэффициенты a1,a2 будут постоянными во времени, а температуры Tж1,Tж2 – постоянными и во времени, и по поверхностям.

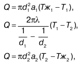
При стационарном режиме теплопередачи полный тепловой поток Q, переданный через однородную сферическую стенку от горячей среды к холодной, будет постоянным для всех изотермических поверхностей и может быть определен тремя уравнениями.

где d1,d2внутренний и наружный диаметры шара;

a1,a2 коэффициенты теплоотдачи от горячей среды к стенке и от стенки к холодной среде;

I– коэффициент теплопроводности материала стенки;

T12 – температуры внутренней и наружной стенок.

где DT = Тж1 – Тж2 – полный температурный напор;

Кш – коэффициент теплопередачи шаровой стенки (Вт/град).

Величина обратная Кш называется термическим сопротивлением теплопередачи шаровой стенки:

Поделиться:
Популярные книги

Адвокат

Константинов Андрей Дмитриевич
1. Бандитский Петербург
Детективы:
боевики
8.00
рейтинг книги
Адвокат

Тринадцатый

NikL
1. Видящий смерть
Фантастика:
фэнтези
попаданцы
аниме
6.80
рейтинг книги
Тринадцатый

Локки 8. Потомок бога

Решетов Евгений Валерьевич
8. Локки
Фантастика:
фэнтези
боевая фантастика
героическая фантастика
попаданцы
5.00
рейтинг книги
Локки 8. Потомок бога

Надуй щеки! Том 7

Вишневский Сергей Викторович
7. Чеболь за партой
Фантастика:
попаданцы
дорама
5.00
рейтинг книги
Надуй щеки! Том 7

Кодекс Охотника. Книга XVI

Винокуров Юрий
16. Кодекс Охотника
Фантастика:
фэнтези
попаданцы
аниме
5.00
рейтинг книги
Кодекс Охотника. Книга XVI

Система Возвышения. (цикл 1-8) - Николай Раздоров

Раздоров Николай
Система Возвышения
Фантастика:
боевая фантастика
4.65
рейтинг книги
Система Возвышения. (цикл 1-8) - Николай Раздоров

Лейб-хирург

Дроздов Анатолий Федорович
2. Зауряд-врач
Фантастика:
альтернативная история
7.34
рейтинг книги
Лейб-хирург

Медиум

Злобин Михаил
1. О чем молчат могилы
Фантастика:
фэнтези
7.90
рейтинг книги
Медиум

Личный аптекарь императора

Карелин Сергей Витальевич
1. Личный аптекарь императора
Фантастика:
городское фэнтези
попаданцы
аниме
фэнтези
5.00
рейтинг книги
Личный аптекарь императора

Барон запрещает правила

Ренгач Евгений
9. Закон сильного
Фантастика:
аниме
фэнтези
попаданцы
5.00
рейтинг книги
Барон запрещает правила

Законы Рода. Том 2

Андрей Мельник
2. Граф Берестьев
Фантастика:
фэнтези
аниме
5.00
рейтинг книги
Законы Рода. Том 2

На границе империй. Том 8. Часть 2

INDIGO
13. Фортуна дама переменчивая
Фантастика:
космическая фантастика
попаданцы
5.00
рейтинг книги
На границе империй. Том 8. Часть 2

Убивать чтобы жить 2

Бор Жорж
2. УЧЖ
Фантастика:
героическая фантастика
боевая фантастика
рпг
5.00
рейтинг книги
Убивать чтобы жить 2

Наследие Маозари 8

Панежин Евгений
8. Наследие Маозари
Фантастика:
боевая фантастика
космическая фантастика
попаданцы
постапокалипсис
рпг
фэнтези
эпическая фантастика
5.00
рейтинг книги
Наследие Маозари 8