Чтение онлайн

на главную - закладки

Жанры

Шрифт:

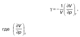
– частная производная, характеризует изменение объема вещества, если давление меняется на одну единицу.

44. Свойства характеристических функций

Функции, описывающие любые термодинамические свойства, называются характеристическими функциями или термодинамическими потенциалами системы. Наиболее важными характеристическими функциями являются: энтальпия

i= i(S,p),

внутренняя энергия

U= U(S,v),

изобарно-изотермический потенциал, или свободная энтальпия,

Z= Z(T,p),

изохорно-изотермическтий потенциал, или свободная энергия,

F= F (T,v).

К основным свойствам характеристических функций относятся следующие.

1. Термодинамические потенциалы отличаются от других функций тем, что имеют более простую структуру и определенное физическое значение.

2. Параметры состояния системы равны частным производным от термодинамического потенциала, взятым по тем же параметрам.

3. В результате дифференцирования термодинамического потенциала получается полный дифференциал данной функции.

4. Используя характеристические функции, записанные в дифференциальном виде, можно получить любые термодинамические параметры системы.

5. Термодинамический потенциал всей системы складывается из значений потенциала ее частей, т. е. обладает свойством аддитивности.

6. Характеристические функции устанавливают зависимость между различными термодинамическими свойствами вещества. Так, например, первые производные от потенциала характеризуют термические свойства (т. е. величины, измеряемые непосредственно приборами – объем, температура, давление), а вторые производные соответствуют калорическим свойствам системы (это величины, выраженные в единицах теплоты – теплоемкость, энтропия, энтальпия, внутренняя энергия).

7. Частные производные характеристических функций позволяютсоставлять уравнения теплоемкостей Cv и Cp, уравнения состояния и другие термодинамические зависимости.

8. Функция является характеристической только при определенных параметрах. При выборе других переменных она утрачиваетсвои свойства, потому что в этом случае частные производные не выражают термодинамические свойства системы.

45. Химический потенциал

Химической энергией называется такая энергия, которая образуется в результате химических взаимодействий и входит в состав внутренней энергии вещества. Химические реакции делятся на экзотермические (проходящие с выделением энергии) и эндотермические (сопровождающиеся ее поглощением).

В случае химической реакции меняется внутренняя энергия системы, так как меняется поглощение атомов в веществах-реагентах. Для таких процессов, можно применить первое начало термодинамики в виде:

U1– U2 =U=Q+A,

где Q– количество теплоты;

DU – изменение внутренней энергии вещества;

А – полезная работа, включающая работу по преодолению также различных электромагнитных сил.

Работа, совершенная в процессе обратимой химической реакции, является максимальной. Ее выражают с помощью уравнения Гиббса-Гельмгольца:

Рассмотрим химический потенциал реакции. В случае химических реакций масса реагирующих веществ не постоянна, ее можно определить в виде функции т (количество вещества) от основных параметров (v, p, T, F, S, Uи т. д). Продифференцируем равенство:

U = mu,

где u– удельное количество внутренней энергии, имеем:

dU = mdu + udm,

ф = uST+ pv = iST

jхимический потенциал.

Но, химическим потенциалом называется частная производная по массе, взятая от какого-либо термодинамического потенциала при определенных значениях аргумента. Химический потенциал показывает, как меняется энергия вещества, если его масса изменяется на единицу.

46. Основные дифференциальные уравнения термодинамики

Дифференциальные уравнения в термодинамике используются для исследования реальных газов, при теоретических (и практических) вычислениях.

Рассмотрим следующие случаи.

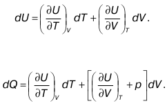
1. Независимыми переменными являются параметры p, V.

это первый закон термодинамики в дифференциальной форме.

2. Независимыми переменными являются параметры р, Т.

а полный дифференциал объема имеет вид:

3. Независимыми переменными являются параметры V, T.

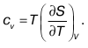
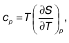
4. При p= const теплоемкость

при v = const теплоемкость

47. Частные производные по объему, давлению, температуре

Поделиться:
Популярные книги

Целеполагание

Владимиров Денис
4. Глэрд
Фантастика:
фэнтези
боевая фантастика
рпг
5.00
рейтинг книги
Целеполагание

Имперец. Том 3

Романов Михаил Яковлевич
2. Имперец
Фантастика:
боевая фантастика
попаданцы
альтернативная история
7.43
рейтинг книги
Имперец. Том 3

Авиатор: назад в СССР

Дорин Михаил
1. Авиатор
Фантастика:
попаданцы
альтернативная история
5.25
рейтинг книги
Авиатор: назад в СССР

Черный дембель. Часть 5

Федин Андрей Анатольевич
5. Черный дембель
Фантастика:
попаданцы
альтернативная история
5.00
рейтинг книги
Черный дембель. Часть 5

Шатун. Лесной гамбит

Трофимов Ерофей
2. Шатун
Фантастика:
боевая фантастика
7.43
рейтинг книги
Шатун. Лесной гамбит

Точка Бифуркации III

Смит Дейлор
3. ТБ
Фантастика:
фэнтези
попаданцы
аниме
5.00
рейтинг книги
Точка Бифуркации III

Кай из рода красных драконов 2

Бэд Кристиан
2. Красная кость
Фантастика:
попаданцы
альтернативная история
5.00
рейтинг книги
Кай из рода красных драконов 2

Кодекс Охотника. Книга III

Винокуров Юрий
3. Кодекс Охотника
Фантастика:
фэнтези
попаданцы
аниме
7.00
рейтинг книги
Кодекс Охотника. Книга III

Мастер 8

Чащин Валерий
8. Мастер
Фантастика:
попаданцы
аниме
фэнтези
5.00
рейтинг книги
Мастер 8

Развод с драконом. Отвергнутая целительница

Шашкова Алена
Фантастика:
фэнтези
4.75
рейтинг книги
Развод с драконом. Отвергнутая целительница

Последний Паладин. Том 10

Саваровский Роман
10. Путь Паладина
Фантастика:
попаданцы
аниме
фэнтези
5.00
рейтинг книги
Последний Паладин. Том 10

Телохранитель Цесаревны

Зот Бакалавр
5. Герой Империи
Фантастика:
фэнтези
боевая фантастика
5.25
рейтинг книги
Телохранитель Цесаревны

Апокриф

Вайс Александр
10. Фронтир
Фантастика:
боевая фантастика
космическая фантастика
космоопера
5.00
рейтинг книги
Апокриф

Тьма и Хаос

Владимиров Денис
6. Глэрд
Фантастика:
фэнтези
боевая фантастика
попаданцы
5.00
рейтинг книги
Тьма и Хаос