Чтение онлайн

на главную - закладки

Жанры

Шрифт:

Величина K является константой (или постоянной) Больцмана.

Следовательно, с увеличением энтропии увеличивается вероятность наступления того или иного термодинамического состояния. Причем наиболее вероятное состояние наступает при максимальном значении энтропии.

41. Уравнение состояния Ван-дер-Ваальса

В общем случае для реальных газов при вычислении параметров состояния нельзя использовать уравнение состояния pv = RT,

которое верно для идеальных газов.

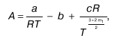
Общее уравнение состояния для реальных газов.

в котором коэффициенты Bi называются вириальными. Эти коэффициенты являются функцией температуры молекул реального газа и потенциальной энергии их взаимодействия.

В определении Вi – коэффициентов производят расчет только первых двух членов ряда, остальные вириальные коэффициенты отбрасываются.

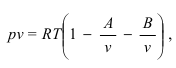
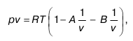
Тогда уравнение состояния для реальных газов принимает следующий вид:

где А и В – два первых вириальных коэффициента, зависящих только от температуры.

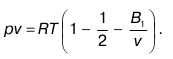
В частном случае (малая плотность газа) уравнение имеет форму:

Если В1 = f(T, Uпотенц), то уравнение превращается в уравнение состояния для реального газа Ван-дер-Ваальса:

где b– минимальный объем, который может приобретать реальный газ при сжатии;

а – коэффициент, не являющийся функцией параметров состояния.

Для разных газов величины а и b различны.

Иными словами, уравнение Ван-дер-Ваальса – это частный случай закона Боголюбова-Майера, в котором пренебрегают всеми членами 1/v выше второй степени. Если реальный газ имеет высокую плотность, то уравнения такого типа будут верны при большем количестве членов ряда. В этом случае уравнения состояния реальных газов дают точность вычислений, приемлемую на практике.

42. Уравнение состояния для реальных газов М. Н. Вукаловича и И. И. Новикова

Универсальное уравнение, описывающее состояние любых реальных газов, было получено в 1939 г. русскими учеными И. И. Новиковым и М. Н. Вукаловичем. В нем

уже учитывалось явление силового взаимодействия молекул (ассоциация, диссоциация) и в общей форме оно записывалось в виде:

где А и В– коэффициенты, вычисляемые по формулам:

где а и b – для реальных газов постоянные величины в уравнениях состояния;

R универсальная газовая постоянная; r, c, k, m1, m2 – коэффициенты, выражающие степень ассоциации.

Иначе уравнение Вукаловича-Новикова можно представить в виде:

где а и b – постоянные величины в уравнении Ван-дер-Ваальса; m, c – постоянные, рассчитываемые опытным путем.

В общем случае основными для перегретого пара (аналогично газу) являются такие параметры состояния, как температура, давление и удельный объем. Перегретый пар близок по свойствам к идеальному газу, так как его параметры расположены далеко от критической точки и от пограничной кривой (верхняя кривая на диаграммах). Если давление перегретого пара не очень велико, то его уравнение состояния можно получить, используя уравнение Ван-дер-Ваальса для случая реального газа, путем введения в него поправок.

Для водяного пара уравнение состояния М. Н. Вукаловича и И. И. Новикова в современной термодинамике является наиболее точным уравнением. Причем его можно использовать и для расчета состояний перегретого пара (при условии и для расчета давления), если добавить к нему несколько последующих членов уравнения.

43. Частные производные параметров состояния. Термические коэффициенты

Свойства реальных веществ описываются термическими коэффициентами.

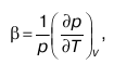
Определение 1. Коэффициентом объемного расширенияaназывается изменение объема вещества при повышении его температуры на один градус.

частная производная параметров состояния.

Она характеризует изменение объема вещества с определенной массой, если его температура повышается на один градус, а внешнее давление остается постоянным.

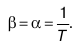
Определение 2. Термическим коэффициентом давления b называется изменение давления в зависимости от изменения температуры вещества. Эта величина также относительная и рассчитывается как:

где

частная производная,характеризующая изменения давления p,если температура вещества повышается на один градус, а объем остается постоянным, давление pявляется функцией температуры.

Определение 3. Изотермическим коэффициентом сжимаемостиgназывается изменение объема в зависимости от изменения давления.

Поделиться:
Популярные книги

Целеполагание

Владимиров Денис
4. Глэрд
Фантастика:
фэнтези
боевая фантастика
рпг
5.00
рейтинг книги
Целеполагание

Имперец. Том 3

Романов Михаил Яковлевич
2. Имперец
Фантастика:
боевая фантастика
попаданцы
альтернативная история
7.43
рейтинг книги
Имперец. Том 3

Авиатор: назад в СССР

Дорин Михаил
1. Авиатор
Фантастика:
попаданцы
альтернативная история
5.25
рейтинг книги
Авиатор: назад в СССР

Черный дембель. Часть 5

Федин Андрей Анатольевич
5. Черный дембель
Фантастика:
попаданцы
альтернативная история
5.00
рейтинг книги
Черный дембель. Часть 5

Шатун. Лесной гамбит

Трофимов Ерофей
2. Шатун
Фантастика:
боевая фантастика
7.43
рейтинг книги
Шатун. Лесной гамбит

Точка Бифуркации III

Смит Дейлор
3. ТБ
Фантастика:
фэнтези
попаданцы
аниме
5.00
рейтинг книги
Точка Бифуркации III

Кай из рода красных драконов 2

Бэд Кристиан
2. Красная кость
Фантастика:
попаданцы
альтернативная история
5.00
рейтинг книги
Кай из рода красных драконов 2

Кодекс Охотника. Книга III

Винокуров Юрий
3. Кодекс Охотника
Фантастика:
фэнтези
попаданцы
аниме
7.00
рейтинг книги
Кодекс Охотника. Книга III

Мастер 8

Чащин Валерий
8. Мастер
Фантастика:
попаданцы
аниме
фэнтези
5.00
рейтинг книги
Мастер 8

Развод с драконом. Отвергнутая целительница

Шашкова Алена
Фантастика:
фэнтези
4.75
рейтинг книги
Развод с драконом. Отвергнутая целительница

Последний Паладин. Том 10

Саваровский Роман
10. Путь Паладина
Фантастика:
попаданцы
аниме
фэнтези
5.00
рейтинг книги
Последний Паладин. Том 10

Телохранитель Цесаревны

Зот Бакалавр
5. Герой Империи
Фантастика:
фэнтези
боевая фантастика
5.25
рейтинг книги
Телохранитель Цесаревны

Апокриф

Вайс Александр
10. Фронтир
Фантастика:
боевая фантастика
космическая фантастика
космоопера
5.00
рейтинг книги
Апокриф

Тьма и Хаос

Владимиров Денис
6. Глэрд
Фантастика:
фэнтези
боевая фантастика
попаданцы
5.00
рейтинг книги
Тьма и Хаос