Чтение онлайн

на главную - закладки

Жанры

Шрифт:

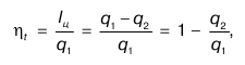
где 1ц – полезная работа;

q1 – подведенная теплота;

q2 – отведенная теплота. Внешняя работа при обратном цикле равна:

1ц = q1q2,

где q1отведенная теплота к горячему источнику;

q2 отведенная теплота от холодного источника.

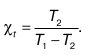
Для обратного идеального цикла существует термин холодильного КПД, который обозначается t:

Можно сформулировать второй закон термодинамики таким образом: «В тепловом двигателе преобразование теплоты в механическую работу на 100% невозможно».

36. Обратный и обратимый цикл Карно

В термодинамических исследованиях практическое применение получило не только прямое, но и обратное направление цикла Карно. Отличие обратного цикла заключается в том, что теплота отводится от источника с низкой температурой и отдается источнику с высокой температурой. Такой цикл является идеальным для холодильных агрегатов.

Рабочее тело, участвующее в обратном цикле, называется холодильным агентом. При адиабатическом расширении температура снижается от значения 71 до величины Тт После этого при получении теплоты Я2 от холодного источника (Т2) газ изотермически сжимается. В следующем процессе происходит адиабатическое сжатие, и температура рабочего тела повышается от значения Т2 до величины Т1. При изотермическом сжатии теплота q1 отнимается от рабочего вещества и переходит к горячему источнику.

Холодильная машина работает по обратному циклу, на создание которого тратится удельное количество работы (I). В этом случае от холодного к горячему источнику передается q2 (количество теплоты), а горячий источник еще получает теплоту, численно равную произведенной работе I. Таким образом, полное количество теплоты, отведенное к горячему источнику, равно:

q1 = q2 + 1

Работа в процессе расширения положительна, а работа в процессе сжатия отрицательна. Полная работа, необходимая для передачи теплоты от холодного к горячему источнику, равна:

I = q1 – q2

и отрицательна.

Холодильный коэффициент e характеризует производительность работы холодильных устройств и определяется отношением:

где q2 – количество теплоты, отведенной от холодного источника и полученной горячим источником;

I – совершенная работа.

Для обратного и обратимого цикла Карно холодильный коэффициент вычисляется с помощью соотношения:

37. Теорема Карно

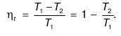
Проведем краткий анализ формулы для термине-ского КПД обратимого прямого цикла Карно:

Из данного равенства следует:

1) термический КПД зависит только от значений температур горячего и холодного источников;

2) ht(для цикла Карно) тем больше, чем выше температура горячего источника (71) и чем ниже температура холодного источника (72);

3) в цикле Карно термический КПД обязательно должен быть меньше единицы. Так как ht= 1 может быть только в случае T2 / T1 = 0, когда T1 = 0, либо T2 = 0 (или T2 = -273,15 oC). Температура холодного источника 72 в реальных тепловых двигателях представляет собой обычно температуру T2 = 260 – 300 K (окружающей среды). Температура нагревателя в топке паросиловых установок равна примерно 2000 К, а в двигателях внутреннего сгорания – около 2500 К, так как в поршневых цилиндрах этих двигателей стенки охлаждаются, и рабочим веществом становятся именно продукты сгорания. Отсюда вытекает то же утверждение, что всю теплоту, подведенную к газу в ходе цикла, нельзя полностью превратить в полезную работу, этот переход обязательно должен сопровождаться потерей части теплоты (она поглощается холодным источником);

4) в цикле Карно термический КПД равен нулю в случае T1 = T2. Из этого следует, что если в системе поддерживается тепловое равновесие, т. е. температура всех тел системы одинакова, то преобразование теплоты в полезную работу невозможно. Для цикла Карно (прямого) верно: ht= 1 – T2/ T1 = 1 – 1 = 0 при T1 = t= T2 (в случае равенства температур обоих источников);

5) термический КПД t характеризует обратимый цикл Карно (круговой процесс). Все реальные процессы необратимы, это объясняется потерями энергии (из-за теплообмена, трения и др.). Поэтому термический КПД реального цикла Карно (необратимого) всегда меньше величины 1 – T2 / T1. Главной особенностью этого цикла является то, что он одинаков как для идеальных, так и для обычных реальных газов, если заданы температуры (T1, T2) источников. Это утверждение представляет собой сущность теоремы Карно, которая гласит: «В тепловом двигателе для всякого обратимого цикла термический КПД не будет зависеть ни от характера цикла, ни от рода вещества (рабочего тела)». Он будет определяться только отношением температур нагревателя (теплоотдатчика) и холодильника (теплоприемника). Другими словами, в тепловом двигателе для каждого обратимого цикла термический КПД вычисляется с помощью такой же формулы, которая определена для обратимого цикла Карно.

38. Изменение энтропии в процессах

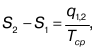
Энтропией называется параметр состояния, который зависит от приведенной теплоты (отношение q /T). Изменение энтропии вычисляется по формуле:

где q1,2 количество теплоты, подведенной к рабочему телу или отведенной от него;

Tср – средняя температура подведенной (или отведенной) теплоты.

Это соотношение определяет изменение энтропии от начального значения энтропии S1 до конечного значения S2

Поделиться:
Популярные книги

Целеполагание

Владимиров Денис
4. Глэрд
Фантастика:
фэнтези
боевая фантастика
рпг
5.00
рейтинг книги
Целеполагание

Имперец. Том 3

Романов Михаил Яковлевич
2. Имперец
Фантастика:
боевая фантастика
попаданцы
альтернативная история
7.43
рейтинг книги
Имперец. Том 3

Авиатор: назад в СССР

Дорин Михаил
1. Авиатор
Фантастика:
попаданцы
альтернативная история
5.25
рейтинг книги
Авиатор: назад в СССР

Черный дембель. Часть 5

Федин Андрей Анатольевич
5. Черный дембель
Фантастика:
попаданцы
альтернативная история
5.00
рейтинг книги
Черный дембель. Часть 5

Шатун. Лесной гамбит

Трофимов Ерофей
2. Шатун
Фантастика:
боевая фантастика
7.43
рейтинг книги
Шатун. Лесной гамбит

Точка Бифуркации III

Смит Дейлор
3. ТБ
Фантастика:
фэнтези
попаданцы
аниме
5.00
рейтинг книги
Точка Бифуркации III

Кай из рода красных драконов 2

Бэд Кристиан
2. Красная кость
Фантастика:
попаданцы
альтернативная история
5.00
рейтинг книги
Кай из рода красных драконов 2

Кодекс Охотника. Книга III

Винокуров Юрий
3. Кодекс Охотника
Фантастика:
фэнтези
попаданцы
аниме
7.00
рейтинг книги
Кодекс Охотника. Книга III

Мастер 8

Чащин Валерий
8. Мастер
Фантастика:
попаданцы
аниме
фэнтези
5.00
рейтинг книги
Мастер 8

Развод с драконом. Отвергнутая целительница

Шашкова Алена
Фантастика:
фэнтези
4.75
рейтинг книги
Развод с драконом. Отвергнутая целительница

Последний Паладин. Том 10

Саваровский Роман
10. Путь Паладина
Фантастика:
попаданцы
аниме
фэнтези
5.00
рейтинг книги
Последний Паладин. Том 10

Телохранитель Цесаревны

Зот Бакалавр
5. Герой Империи
Фантастика:
фэнтези
боевая фантастика
5.25
рейтинг книги
Телохранитель Цесаревны

Апокриф

Вайс Александр
10. Фронтир
Фантастика:
боевая фантастика
космическая фантастика
космоопера
5.00
рейтинг книги
Апокриф

Тьма и Хаос

Владимиров Денис
6. Глэрд
Фантастика:
фэнтези
боевая фантастика
попаданцы
5.00
рейтинг книги
Тьма и Хаос