Чтение онлайн

на главную - закладки

Жанры

Транзистор?.. Это очень просто!
Шрифт:

Хочешь ли ты выяснить, каким должно быть сопротивление нагрузки, чтобы получить наилучший результат? Если оно мало по сравнению с сопротивлением генератора, то ток будет больше. Тем лучше! Но тогда из-за повышенного падения напряжения внутри источника напряжения напряжение на этом сопротивлении нагрузки будет меньше. Тем хуже!

Сделаем наоборот. Возьмем сопротивление нагрузки значительно большее, чем сопротивление генератора. Тогда (как и в ламповых схемах) мы передадим на нагрузку почти всю э. д. с. Тем лучше! А ток будет меньше. Тем хуже!

Ты догадываешься, Незнайкин, что в этом случае наилучшим решением окажется наша «золотая середина»: сопротивление нагрузки не должно быть ни больше, ни меньше сопротивления генератора. Иначе говоря, отдача наибольшей мощности происходит тогда, когда сопротивление нагрузки равно сопротивлению генератора. Когда это условие выполнено, то говорят, что сопротивления согласованы.

Чтобы лучше тебя в этом убедить, я не поленился составить графики зависимости отдаваемой в нагрузку мощности Р, тока I и напряжения Uн (для источника с э. д. с. Е = 12 В и внутренним сопротивлением Rвн = 6 Ом) от сопротивления нагрузки Rн (рис. 84). Ты видишь, что по мере увеличения Rн уменьшается ток I и возрастает напряжение U, их произведение быстро достигает максимума при Rн = Rвн = 6 Ом, а затем медленно убывает. Разве это не достаточно убедительно?

Рис. 84. Зависимость мощности P, напряжения Uн, и тока I от сопротивления нагрузки Rн. Внимание! Масштабы, в которых приведены РUн и I, разные.

Однако не думай, что оптимальные условия передачи энергии всегда требуют исключительно точного согласования сопротивлений. Другие требования, такие как хорошая линейность, могут заставить выбрать соотношение между Rн и Rвн, значительно отличающееся от согласования.

Но я предчувствую появление вопроса: как наладить сотрудничество генератора и нагрузки с очень различными сопротивлениями, не разбазаривая при этом слишком много мощности?

Действительно, как передать энергию на транзистор с малым входным сопротивлением от другого транзистора, имеющего большое выходное сопротивление? Как передать мощность от лампы с большим внутренним сопротивлением на низкоомную звуковую катушку громкоговорителя? Как, имея электродинамический микрофон с малым внутренним сопротивлением, подать сигналы на вход лампы усилителя, у которой входное сопротивление бесконечно велико?..

Ты угадываешь ответ: средством согласования сопротивлений должен служить твой старый знакомый — трансформатор: для этого, разумеется, подбирают соответствующее отношение между числами витков первичной и вторичной обмоток (рис. 85).

Рис. 85. Для согласования различных сопротивлений генератора и нагрузки применяют трансформатор с соответствующим отношением витков.

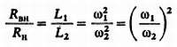
Само собой разумеется, что трансформируемое в цепь первичной обмотки сопротивление нагрузки должно равняться внутреннему сопротивлению генератора. В свою очередь трансформируемое в цепь вторичной обмотки сопротивление генератора должно быть равно сопротивлению нагрузки. Для этого необходимо, чтобы индуктивные сопротивления были пропорциональны сопротивлениям цепей, в которые каждая из обмоток включена.

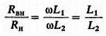
А ты знаешь. что индуктивное сопротивление обмотки равно ее индуктивности, умноженной на угловую частоту  = 2f. Обозначив индуктивность первичной и вторичной обмоток соответственно через L1 и L2, получим:

Я напомню тебе, что индуктивность в свою очередь пропорциональна квадрату числа витков. Обозначив число витков первичной и вторичной обмоток через 1 и 2, мы можем записать:

А что такое 1/ 2, Незнайкин? Вспомни, что отношение числа витков обмоток трансформатора называется коэффициентом трансформации n. Следовательно, можно написать:

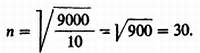
Этот результат имеет большое значение. Возьми для примера мощную лампу с внутренним сопротивлением Rвн = 9000 Ом (рис. 86).

Рис. 86. Понижающий трансформатор позволяет согласовать малое сопротивление звуковой катушки громкоговорителя с высоким внутренним сопротивлением выходной лампы.

Если сигнал с нее должен подаваться на громкоговоритель, сопротивление звуковой катушки которого составляет 10 Ом, то между ними нужно установить трансформатор с отношением витков первичной обмотки ко вторичной:

Но остановимся сегодня на этом, так как я не хочу препятствовать благотворному действию аспирина на твой организм. Желаю скорейшего выздоровления!

Твой друг Любознайкин.

Беседа десятая

СВЯЗИ ВСЕХ ВИДОВ

В ходе предыдущих бесед Любознайкин и Незнайкин изучили работу одиночного транзистора. Теперь они хотят рассмотреть схемы с несколькими транзисторами и способы связи транзисторов между собой. Цепи связи должны передавать последующему транзистору мощность, отдаваемую предшествующим транзистором. Как будет показано, кроме цепей связи, заимствованных из ламповой техники, здесь можно применять множество свойственных только транзисторам хитроумных комбинаций, которые сначала удивляют Незнайкина и вызывают у него бурный энтузиазм.

Содержание: Основные схемы с транзисторами структуры n-р-n. Преимущества и недостатки трансформаторной связи. Регулировка громкости звука. Резистивно-емкостная связь. Емкость конденсатора связи. Схема с непосредственной связью. Усилитель постоянного тока. Схема с дополнительной симметрией. Тандем из двух транзисторов.

О транзисторах n-р-n

Поделиться:
Популярные книги

Черный Маг Императора 15

Герда Александр
15. Черный маг императора
Фантастика:
юмористическое фэнтези
попаданцы
аниме
сказочная фантастика
фэнтези
фантастика: прочее
5.00
рейтинг книги
Черный Маг Императора 15

Ученик. Книга третья

Первухин Андрей Евгеньевич
3. Ученик
Фантастика:
фэнтези
7.64
рейтинг книги
Ученик. Книга третья

Сирийский рубеж

Дорин Михаил
5. Рубеж
Фантастика:
попаданцы
альтернативная история
5.00
рейтинг книги
Сирийский рубеж

Точка Бифуркации V

Смит Дейлор
5. ТБ
Фантастика:
фэнтези
попаданцы
аниме
5.00
рейтинг книги
Точка Бифуркации V

Ст. сержант. Назад в СССР. Книга 5

Гаусс Максим
5. Второй шанс
Фантастика:
попаданцы
альтернативная история
5.00
рейтинг книги
Ст. сержант. Назад в СССР. Книга 5

Сонный лекарь 4

Голд Джон
4. Не вывожу
Фантастика:
альтернативная история
аниме
5.00
рейтинг книги
Сонный лекарь 4

Господин Хладов

Шелег Дмитрий Витальевич
4. Кровь и лёд
Фантастика:
аниме
5.00
рейтинг книги
Господин Хладов

Моя простая курортная жизнь 7

Блум М.
7. Моя простая курортная жизнь
Фантастика:
дорама
гаремник
5.00
рейтинг книги
Моя простая курортная жизнь 7

Имперец. Том 4

Романов Михаил Яковлевич
3. Имперец
Фантастика:
попаданцы
альтернативная история
аниме
5.00
рейтинг книги
Имперец. Том 4

Лекарь Империи 4

Карелин Сергей Витальевич
4. Лекарь Империи
Фантастика:
городское фэнтези
аниме
попаданцы
5.00
рейтинг книги
Лекарь Империи 4

Неудержимый. Книга XXVII

Боярский Андрей
27. Неудержимый
Фантастика:
фэнтези
попаданцы
5.00
рейтинг книги
Неудержимый. Книга XXVII

Петля, Кадетский Корпус. Книга четвертая

Алексеев Евгений Артемович
4. Петля
Фантастика:
боевая фантастика
попаданцы
аниме
5.00
рейтинг книги
Петля, Кадетский Корпус. Книга четвертая

Локки 7. Потомок бога

Решетов Евгений Валерьевич
7. Локки
Фантастика:
аниме
эпическая фантастика
фэнтези
5.00
рейтинг книги
Локки 7. Потомок бога

Цикл "Отмороженный". Компиляция. Книги 1-14

Гарцевич Евгений Александрович
Отмороженный
Фантастика:
боевая фантастика
рпг
постапокалипсис
5.00
рейтинг книги
Цикл Отмороженный. Компиляция. Книги 1-14