Чтение онлайн

на главную - закладки

Жанры

Шрифт:

В частном случае, когда имеется соотношение atb2c = = CLzbci, еще один коэффициент рядов (II) остается неопределенным, и ряды содержат три произвольных постоянных, следовательно, как и в указанном частном случае, имеем общее решение.

Ковалевская добавляет: «Это позволяет нам сделать заключение, что в этом [т. е. частном] случае общие, интегралы будут также однозначными функциями на всей плоскости, имея только одну существенно особую точку и=°°, а для конечных значений и — только полюсы первого порядка». Она надеется, что изучение свойств однозначных функций, существование которых она доказала, «возможно, прольет свет когда-нибудь на свойства более общих функций

где

квадратичная форма п переменных» [75, с. 106].

На рассмотренной задаче, ясно виден ход мысли Ковалевской, который привел ее к открытию нового случая вращения.

Уже в 1886 г. Ковалевская получила основные результаты по своей задаче. В этом году Парижская академия наук объявила две премии на 1888 г. по физико-математическим наукам: одну по математике на большую премию математических наук, состоящую из медали и 3000 франков, — усовершенствовать теорию алгебраических функций двух независимых переменных, и другую — на премию Бордена, состоящую из медали и 3000 франков,— усовершенствовать в каком-нибудь важном пункте теорию движения твердого тела (см. Примечание 2).

Шарль Лоран Борден был нотариусом, передавшим в 1835 г. Институту Франции ренту в 15 000 франков, которая должна была распределяться поровну между пятью академиями Франции. Темы, которые могли выдвигаться на конкурс, согласно завещанию Бордена, должны были иметь целью общественные интересы, благо человечества, прогресс науки и национальную честь.

182

Ковалевская решила представить свою работу на премию Бордена. Однако ей предстояло еще произвести огромные математические выкладки и оформить работу, В письме к Миттаг-Леффлеру, относящемуся к лету 1888 г., она говорит:

«Моя голова так теперь полна математикой, что я не могу ни думать, ни говорить о чем-нибудь другом. Я пришла к определенному результату, и к очень приятному притом, а именно, что этот случай задачи о вращении интегрируется действительно посредством ультраэл- липтических функций. Но мне еще предстоит разработать окончательные формулы, и я не знаю, успею ли я это сделать до конца месяца. Не могу не сообщить Вам несколько подробнее о своей работе. Вследствие недостатка времени буду писать очень коротко, но, пожалуйста, постарайтесь все же вникнуть в вопрос» [СК 273].

Остановимся на этой задаче и выпишем систему шести уравнений движения тяжелого твердого тела вокруг неподвижной точки, состоящую из двух групп уравнений [146]:

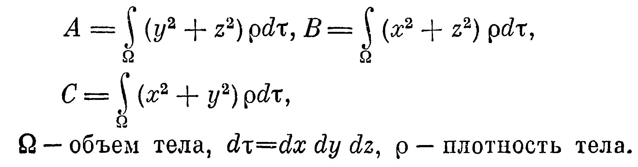
Здесь X, y, z — координаты произвольной точки тела в подвижной системе координат, неизменно связанной с движущимся телом, причем начало координат помещено в неподвижной точке тела; р, q, г — составляющие вектора угловой скорости вращения тела; у, у', ч" “ направляющие косинусы вертикальной оси относительно подвижных осей (х, у, z), Далее, через М обозначается масса тела, через (х0, у0, Zo) — координаты центра его тяжести, g — ускорение силы тяжести, А, В, С —главные моменты инерции тела, т. е. выражения

183

Задача состоит в нахождении

как функций времени, если известны начальные значения их
в момент времени
При этом между
должно выполняться соотношение

Известно, что система уравнений (1), (2) имеет три первых интеграла:

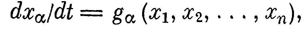
Система уравнений (1), (2) автономна, т. е. время в нее входит лишь в виде dt, поэтому, разрешив уравнения (1) относительно производных и разделив почленно все уравнения на одно из них, получают пять уравнений. Теория последнего множителя позволяет найти еще один интеграл. Поэтому достаточно иметь вдобавок к (3) еще один, четвертый интеграл, чтобы получить полное решение задачи.

Были известны такие частные случаи, когда имеется четвертый интеграл — он является также алгебраическим.

1. Случай Эйлера, когда Xo=y0=z0=0, т. е. центр тяжести совпадает с неподвижной точкой. Здесь нетрудно найти четвертый интеграл

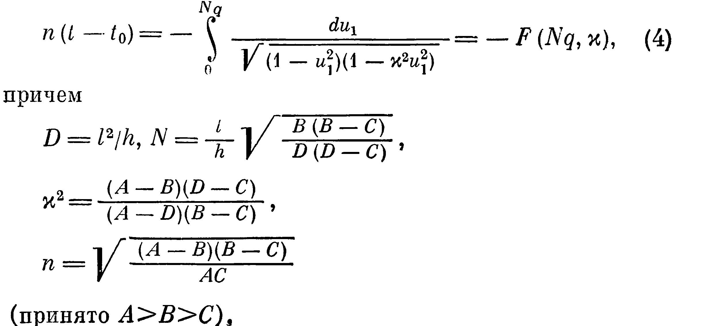
Выпишем лишь один член решения, определяющий зависимость между t и q (для случая, когда B>D, где D оп-* ределено ниже) :

84

Функция q (t) находится обращением эллиптического интеграла (4):

Для риг получены аналогичные соотношения;

определяются из уравнений

2. Случай Лагранжа, для которого А—В, х0=у0=01 т. е. рассматривается тело с симметричным эллипсоидом инерции, центр тяжести которого лежит на оси z. Здесь последнее из уравнений (1) выглядит очень просто: C(dr/dt)= 0, откуда г=С4 является новым, четвертым алгебраическим интегралом. Решение также сводится к обращению эллиптических интегралов.

Ковалевская подошла к задаче о вращении по-новому: она стала рассматривать, как это сделал Пуанкаре в задаче п тел, время t как комплексное переменное (для каждой конкретной задачи рассматриваются его действительные значения) и применила аппарат теории функций комплексного переменного. Она ищет решение, предполагая, что функции р, q, г, 7, 7', 7" имеют полюсы на комплексной плоскости переменного t. Если один из этих полюсов есть t=tu то, обозначая т=?—?4, можно искать решение в виде рядов

Поделиться:
Популярные книги

Антимаг его величества. Том II

Петров Максим Николаевич
2. Модификант
Фантастика:
фэнтези
попаданцы
аниме
5.00
рейтинг книги
Антимаг его величества. Том II

Личный аптекарь императора. Том 3

Карелин Сергей Витальевич
3. Личный аптекарь императора
Фантастика:
городское фэнтези
попаданцы
аниме
фэнтези
5.00
рейтинг книги
Личный аптекарь императора. Том 3

За Горизонтом

Вайс Александр
8. Фронтир
Фантастика:
боевая фантастика
космическая фантастика
космоопера
5.00
рейтинг книги
За Горизонтом

Законы Рода. Том 6

Андрей Мельник
6. Граф Берестьев
Фантастика:
юмористическое фэнтези
аниме
5.00
рейтинг книги
Законы Рода. Том 6

Душелов

Faded Emory
1. Внутренние демоны
Фантастика:
боевая фантастика
аниме
5.00
рейтинг книги
Душелов

Неудержимый. Книга XV

Боярский Андрей
15. Неудержимый
Фантастика:
фэнтези
попаданцы
аниме
5.00
рейтинг книги
Неудержимый. Книга XV

Император Пограничья 5

Астахов Евгений Евгеньевич
5. Император Пограничья
Фантастика:
аниме
фэнтези
фантастика: прочее
попаданцы
5.00
рейтинг книги
Император Пограничья 5

Кодекс Охотника. Книга XXXVIII

Винокуров Юрий
38. Кодекс Охотника
Фантастика:
фэнтези
боевая фантастика
попаданцы
юмористическое фэнтези
5.00
рейтинг книги
Кодекс Охотника. Книга XXXVIII

Вечный. Книга VI

Рокотов Алексей
6. Вечный
Фантастика:
рпг
фэнтези
5.00
рейтинг книги
Вечный. Книга VI

Сержант. Назад в СССР. Книга 4

Гаусс Максим
4. Второй шанс
Фантастика:
попаданцы
альтернативная история
5.00
рейтинг книги
Сержант. Назад в СССР. Книга 4

Черный Маг Императора 5

Герда Александр
5. Черный маг императора
Фантастика:
юмористическое фэнтези
попаданцы
аниме
5.00
рейтинг книги
Черный Маг Императора 5

Старый, но крепкий

Крынов Макс
1. Культивация без насилия
Фантастика:
рпг
уся
попаданцы
5.00
рейтинг книги
Старый, но крепкий

Орден Архитекторов 12

Винокуров Юрий
12. Орден Архитекторов
Фантастика:
фэнтези
5.00
рейтинг книги
Орден Архитекторов 12

Печать зверя

Кас Маркус
7. Артефактор
Фантастика:
городское фэнтези
аниме
5.00
рейтинг книги
Печать зверя