Чтение онлайн

на главную - закладки

Жанры

Шрифт:

Через год после смерти Ковалевской Анна-Шарлотта Леффлер выпустила книгу воспоминаний о ней [190]. 2626 Из семейногр архива С, Вл. Ковалевской,

177

Датский писатель Георг Брандес, считавшийся «опасным радикалом», сказал: «В этой книге излагается судьба великого человека. Она вносит с собою веяние более богатой во внешних и внутренних отношениях жизни, чем та, которая течет в Скандинавских странах» [214, с. 241].

В воспоминаниях Анны-Шарлотты Леффлер приводятся высказывания относительно представителей русской интеллигенции, воздающие должное многосторонности, отсутствию предрассудков и широте взглядов истинно просвещенных и свободомыслящих русских. Она пишет, что это признают все, знающие и других русских, а не только Ковалевскую, и добавляет: «Они стоят в ряду передовых людей всей Европы, отличаются необыкновенной способностью схватывать на лету новые идеи, как только они появляются на горизонте, и с почти неслыханной живостью мысли соединяют такой энтузиазм, такую веру в свои идеалы, каких мы не встречаем ни у одной из других европейских наций» [86, с. 132].

Сохранились воспоминания современников о внешнем облике Ковалевской. Она была небольшого роста, с сияющими проницательными глазами, с оживленным лицом. Речь ее отличалась большой живостью. Для выражения своих мыслей она прибегала к помощи трех-четырех различных языков. Ковалевская знала французский, немецкий и английский языки, а в Швеции быстро обучилась шведскому языку настолько, что могла читать лекции на нем.

Однако она говорила, что ее очень тяготит невозможность изъясняться за границей на родном для нее русском языке, вследствие чего она не может передавать самых тонких оттенков своих мыслей: «Это все равно, как если бы вас заставили ходить целый день с маской на лице»,— неоднократно говорила С. В. Ковалевская. «Поэтому всякий раз, как я возвращаюсь в Россию, мне кажется, что я вернулась из тюрьмы, где держали взаперти связанными мои лучшие мысли» [96, с. 163].

За границей Ковалевская производила глубокое впечатление своей яркой личностью, блестящим умом, склонным к юмору и парадоксам, широтой интересов.

В печати появились и психологические очерки, в которых обсуждался вопрос о том, не слишком ли дорогой ценой достигается иногда слава женщиной. Порою делались ошибочные обобщения, опиравшиеся на отдельные случайные примеры.

178

В последние годы стали появляться статьи о С. В. Ковалевской за рубежом —в США, в Новой Зеландии [192, 193]. Возможно, оживлению интереса к нашей соотечественнице содействовало издание АН СССР собрания ее литературных произведений, а также писем К. Вейер- штрасса.

Г л а в а VI

Задача о вращении твердого тела

Задача о вращении твердого тяжелого тела вокруг неподвижной точки уже давно привлекала умы ученых. Это и неудивительно, так как она относится к явлениям, имеющим самое широкое распространение в природе и в технике: сюда относятся гироскоп и волчок, а также небесные тела, если отвлечься от их поступательного движения, и т. д. Частным случаем задачи о вращении является задача о качаниях маятника, которая полностью решается современными методами математики. Однако общая задача о вращении произвольного твердого тела вокруг неподвижной точки является чрезвычайно трудной и до настоящего времени не имеет аналитического решения.

До Ковалевской были исследованы полностью лишь два частных случая вращения твердого тела: когда тело имеет произвольную форму, но закреплено в центре тяжести (случай Эйлера), и когда рассматривается симметричное (в смысле равенства двух главных моментов инерции) тело, причем центр тяжести паходится на оси вращения (случай Лагранжа). Вследствие математических трудностей, связанных с решением задачи о вращении, ее называли «математической русалкой».

Говоря об зтой задаче, ее обычно сопоставляют с другой важной задачей теоретической механики — задачей п тел. Как известно, задача о движении двух тел под действием ньютоновского притяжения решается до конца, рлучай же движения трех и большего числа тел представляет огромные трудности. Обе указанные задачи, можно сказать, стояли на повестке дня у математиков прошлого века.

179

Ковалевская уже со студенческих лет интересовалась задачей о вращении. В письме от 21 ноября 1881 г. к Мит- таг-Леффлеру она говорит: «Прошлой осенью я начала работу об интегрировании дифференциальных уравнений с частными производными, которые встречаются в оптике в вопросе о преломлении света в кристаллической среде. Это исследование уже достаточно продвинулось вперед, когда я возымела слабость отвлечься работой над другим вопросом, который вертелся у меня в голове почти с самого начала моих математических занятий и о котором я одно время думала, что другие исследователи опередили меня. Он касается решения общего случая вращения тяжелого тела вокруг неподвижной точки при помощи абелевых функций».

Она занялась этой задачей, но сначала ее попытки оказались бесплодными. Впоследствии исследования Вейерштрасса относительно условий устойчивости и аналогии с другими динамическими задачами «снова оживили мой пыл,— говорит Ковалевская,— и возбудили во мне надежду решить эту задачу при помощи абелевых функций, аргументы которых не являются линейными функциями времени.

Эти исследования показались мне настолько интересными и прекрасными, что я на время забыла все остальное и предалась им со всей горячностью, на какую я только способна... Вычисления, к которым я пришла, пользуясь этим способом, настолько трудны и сложны, что пока я еще не могу сказать, достигну ли я желанной цели. Во всяком случае, в течение двух-трех недель, не более, я надеюсь узнать, чего мне держаться, и г. Вейерштрасс утешает меня, что даже в худшем случае я могу всегда обратить задачу и постараться определить, под влиянием каких сил получается вращение, переменные которого могут быть выражены в абелевых функциях,— задача, правда, довольно тощая и далеко не представляющая такого же интереса, как та, которую я себе поставила» [СК 5].

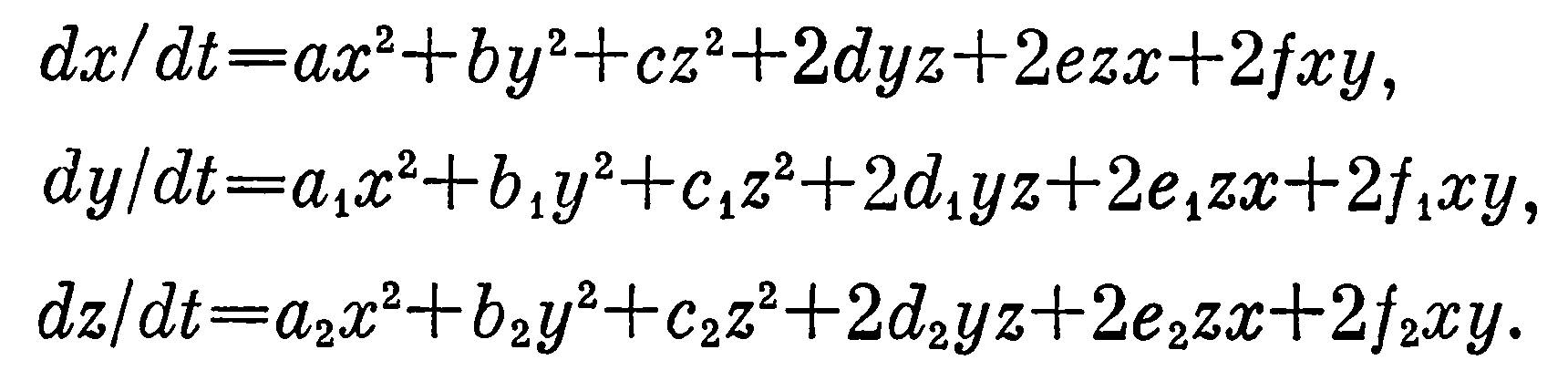
Уравнения движения тяжелого твердого тела вокруг неподвижной точки представляют систему шести дифференциальных уравнений, в левых частях которых стоят производные по времени от искомых функций, а в правых — полиномы второй степени от этих функций. Ковалевская стала искать решение системы, аналогичной указанной, но с меньшим числом переменных. В письме Миттаг-Леффлеру от 29 декабря 1884 г. [МЛ 35] она

180

рассматривает систему трех уравнений:

Ковалевская говорит, что линейным преобразованием эту систему можно привести к одному из более простых типов, например к такому:

В частном случае

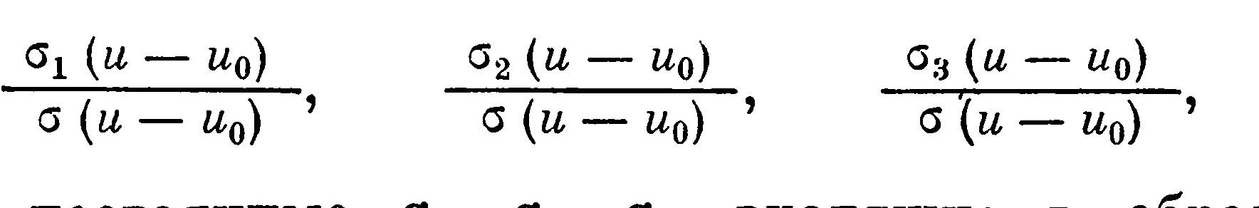
эта система может быть проинтегрирована с помощью эллиптических функций а (гг), a именно, общий интеграл представляется в форме линейной функции трех отношений

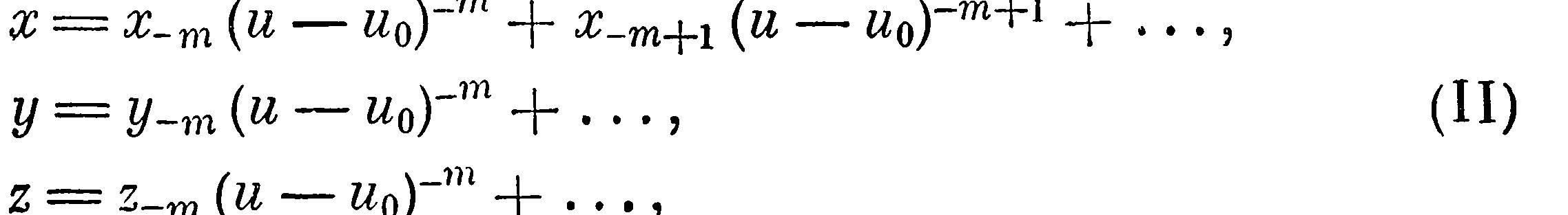
где постоянные giy g2, gs, входящие в образование а, являются произвольными. Ковалевская отмечает важное свойство полученного ею решения: оно выражается с помощью однозначных функций от переменной гг, которые имеют не более одной существенно особой точки гг = «>, а для конечных значений гг — только полюсы первого порядка. Для случая произвольных значений а, 6, с,... Ковалевская ставит вопрос:

«Может ли система х, г/, z, удовлетворяющая уравнениям (I), вообще допускать полюсы, или же только существенно особые точки, другими словами,— возможно ли удовлетворить уравнениям (I) рядами вида

где m — целое положительное число (или, по крайней мере, какое угодно положительное число). Легко убедиться, что это возможно только в случае m = 1 и что тогда это всегда возможно».

181

Далее Ковалевская замечает, что при произвольных

ряды (II) будут определены с точностью до множителя, т. е. будут содержать лишь одну произвольную постоянную. Это показывает, что общие интегралы уравнений (I) должны бы иметь еще другие особенности, кроме полюсов.

Поделиться:
Популярные книги

Точка Бифуркации VIII

Смит Дейлор
8. ТБ
Фантастика:
фэнтези
попаданцы
5.00
рейтинг книги
Точка Бифуркации VIII

Курсант: назад в СССР

Дамиров Рафаэль
1. Курсант
Фантастика:
попаданцы
альтернативная история
7.33
рейтинг книги
Курсант: назад в СССР

Кодекс Охотника XXXI

Винокуров Юрий
31. Кодекс Охотника
Фантастика:
попаданцы
аниме
фэнтези
5.00
рейтинг книги
Кодекс Охотника XXXI

Индульгенция 2. Без права на жизнь

Машуков Тимур
2. Темный сказ
Фантастика:
аниме
фэнтези
попаданцы
гаремник
5.00
рейтинг книги
Индульгенция 2. Без права на жизнь

Воин

Бубела Олег Николаевич
2. Совсем не герой
Фантастика:
фэнтези
попаданцы
9.25
рейтинг книги
Воин

Мастер 9

Чащин Валерий
9. Мастер
Фантастика:
боевая фантастика
попаданцы
технофэнтези
аниме
фэнтези
5.00
рейтинг книги
Мастер 9

Ермак. Регент

Валериев Игорь
10. Ермак
Фантастика:
попаданцы
альтернативная история
5.00
рейтинг книги
Ермак. Регент

Травница Его Драконейшества

Рель Кейлет
Любовные романы:
любовно-фантастические романы
5.00
рейтинг книги
Травница Его Драконейшества

Третий. Том 3

INDIGO
Вселенная EVE Online
Фантастика:
боевая фантастика
космическая фантастика
попаданцы
5.00
рейтинг книги
Третий. Том 3

Пустоши

Сай Ярослав
1. Медорфенов
Фантастика:
фэнтези
попаданцы
5.00
рейтинг книги
Пустоши

Кодекс Охотника. Книга XIV

Винокуров Юрий
14. Кодекс Охотника
Фантастика:
боевая фантастика
попаданцы
аниме
5.00
рейтинг книги
Кодекс Охотника. Книга XIV

Первый среди равных. Книга VII

Бор Жорж
7. Первый среди Равных
Фантастика:
попаданцы
аниме
фэнтези
фантастика: прочее
5.00
рейтинг книги
Первый среди равных. Книга VII

Душелов

Faded Emory
1. Внутренние демоны
Фантастика:
боевая фантастика
аниме
5.00
рейтинг книги
Душелов

Я уже граф. Книга VII

Дрейк Сириус
7. Дорогой барон!
Фантастика:
боевая фантастика
попаданцы
аниме
5.00
рейтинг книги
Я уже граф. Книга VII