Чтение онлайн

на главную - закладки

Жанры

Шрифт:

Рассмотрим одну из таких систем, носящую имя своего автора – систему Томас Дональд.

Основные положения этой системы следующие. Для игры нужно иметь капитал в 3000 раз больше условно принятой вами начальной ставки. Каждый раз, проиграв ставку, очередную нужно увеличить на одну ставку. Выиграв ставку, очередную нужно уменьшить на одну ставку.

Система основана на положении, принимаемом автором, что в течение определённого отрезка времени – дня, недели, месяца, года – число проигрышей и выигрышей приблизительно равно. Автор обещает выигрыш, если игрок будет пользоваться его системой в течение таких отрезков времени, при соблюдении ещё двух дополнительных правил: 1. Не играть, если не можете свободно распоряжаться временем в течение выбранного вами срока или деньгами в пределах суммы, в 3000 раз превышающей принятую вами ставку.

2. Не играть на чужие деньги и на деньги, взятые в долг.

Два последних пункта не имеют прямого отношения к системе «Томас Дональд» и скорее похожи на мораль. Но, следует заметить, эти правила носят универсальный характер. Многие выдающиеся игроки замечали некую мистическую связь между своим отношением к деньгам и благосклонностью Фортуны.

Так, ещё Н.А.Некрасов, отправляясь на крупную игру, клал деньги, предназначенные для проигрыша, в отдельный карман. "Нужно, – говорил он, – относиться к этим деньгам так, как будто их уже нет". Фортуна любит лёгкость в обращении с деньгами. Если вы станете трястись над каждой ставкой, если вы отрываете деньги от семьи или каких-то своих важных дел, лучше не играйте.

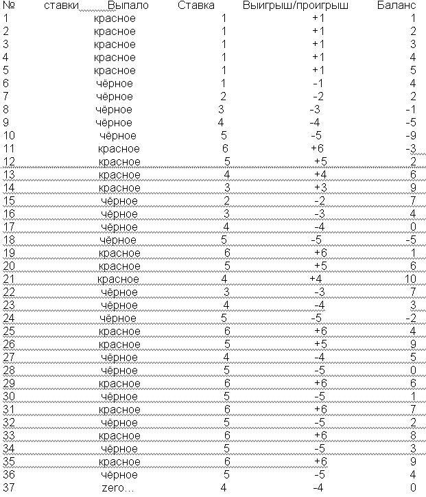
Попробуем проверить, как бы сработала система «Томас Дональд» на практике. Допустим, мы всегда ставим на красное, начальная ставка – $1. Предположим, что из 37 запусков рулетки красное выпадает 18 раз, столько же раз – чёрное, и 1 раз – zero. Пусть красное и чёрное чередуются таким образом: 5 раз красное, 5 раз чёрное, 4 раза красное, 4 раза чёрное, 3 раза красное, 3 раза чёрное, 2 раза красное, 2 раза чёрное, дальше через 1.

Обратите внимание, по результату целой игры мы сыграли вничью, хотя выигрышей у нас было на 1 меньше, чем проигрышей. К тому же, чередование красного и чёрного оказалось для нас очень невыгодным: первые пять раз мы выигрывали всего по $1. Если бы чередование началось с пяти чёрных, то следующие 5 выигрышей принесли бы не $5, а $20 (6+5+4+3+2).

Почему же, даже играя по системе, люди чаще проигрывают в рулетку? Тот же Достоевский, если судить по письмам жене, постоянно просил прислать денег на обратную дорогу. Мы не знаем, по какой системе играл Фёдор Михайлович, но по какой бы ни играл, автор «Игрока» определённо нарушал основные заповеди, касающиеся лёгкого отношения к деньгам. Из его текстов это очевидно.

Модификация Томаса Дональда – система «Дональд-Натансон».

В наши дни старинная система Томас Дональд подверглась критическому пересмотру со стороны серьёзного математика Льва Натансона. Он рассуждал следующим образом: «Я всегда ставлю на красное. Допустим, начальная ставка – 1 доллар. После выпадения чёрного я увеличиваю ставку на единицу, а после выпадения красного – уменьшаю на единицу. Но что мне делать, если я поставил доллар на красное и выиграл?»

Согласно Т.Дональду, ставка должна оставаться неизменной, так как ни нулевых, ни отрицательных ставок не бывает. «А собственно, почему?» – подумал математик. И попробовал: получилось весьма интересно.

Чтобы не отступать от канонов системы, после ставки на красное и выигрыша, ставку нужно уменьшить на единицу. Если вы ставили $1, следующая ставка должна быть равна нулю. Что такое нулевая ставка, понятно: очередной запуск рулетки вы просто пропускаете. Но при этом вы ставите ноль именно на красное и внимательно следите за тем, что выпадет, – чтобы знать, как поставить в следующий раз. Допустим, опять выпало красное. Вы выиграли и должны снова уменьшить ставку. Следующая ставка (по системе) должна равняться -1 (минус единице).

А что такое отрицательная ставка на красное? Это – ставка на чёрное! Что бы ни случилось в дальнейшем, правило только одно: при выпадении чёрного ставка увеличивается, при выпадении красного – уменьшается.

Пусть, например, при трёх первых запусках рулетки всё время выпадает красное. После первого запуска мы выиграли $1, во второй раз "ставим нуль", а в третий – минус $1 (доллар на чёрное).

«Широкий шаг».

Вот пример ещё одной системы, основанной на принципе мартингейл. После каждого выигрыша игрок ставит первоначальную ставку. После каждого проигрыша ставка удваивается и увеличивается на единицу. Игрок всегда ставит на равные шансы.

Автор этой системы исходит из предположения, что в игре существуют чередующиеся серии. Отрицательный результат каждой неблагоприятной серии (чёрной полосы) он пытается компенсировать выигрышем в одном-единственном броске.

Нетрудно убедиться, что при каждом положительном исходе его суммарный выигрыш равен порядковому номеру запуска рулетки с начала игры.

Но система столь агрессивна, что применяющий её рискует слишком рано упереться в верхний предел ставки. Посмотрите по таблице, что будет, если в 9-м испытании результат окажется отрицательным.

Следующая ставка должна быть уже в 63 раза больше первоначальной. При нижнем лимите $25 это составит $1575, что намного больше верхнего предела. Серию из 5-ти поражений подряд система уже не выдерживает.

Ещё несколько разновидностей мартингейла.

Мы уже рассматривали вероятность выигрыша по результатам нескольких игр при непрерывном удвоении ставок после каждого проигрыша. Приведённая ниже таблица иллюстрирует финансовую сторону предприятия при девяти последовательных проигрышах, предшествующих выигрышу.

Используя эту систему, необходимо помнить о верхнем пределе ставок. Модифицируем таблицу для стола, который имеет нижний предел $25.

Если мы теперь подойдём к любому столу, где для ставки на равные шансы установлен минимум $25, то обнаружим, что верхний предел на этом же столе, как правило, $1000. Как видно из таблицы, наши опыты закончатся после 6-го запуска рулетки с результатом $1575.

Если же мы, подчиняясь правилам, будем продолжать игру и, не имея возможности удваивать, будем просто ставить максимальную ставку по $1000 (исходя из предположения, что "когда-то ведь должен быть и на нашей улице праздник"), то на 7-м, 8-м и 9-м броске мы проиграем ещё $3000, а на 10-м отыграем $1000, получив окончательный результат $3575.

При невозможности выполнить хотя бы одно из условий системы (любое) она перестаёт работать.

«Счастливая семёрка».

Минимум денег для этой стратегии, должен быть, по крайней мере $120 (при ставках 5 $). Ставки при данной стратегии возможны на цвет, большое (маленькое) и чет (нечет).

Вы можете легко делать сотни долларов, рискуя только 120$ вашего собственного капитала. Играть по этой стратегии рекомендуется несколько дней. Для этого вам необходимо иметь 120*3(дня)=360$.

Поделиться:
Популярные книги

Принадлежать им

Зайцева Мария
Любовные романы:
современные любовные романы
5.00
рейтинг книги
Принадлежать им

Наемный корпус

Вайс Александр
5. Фронтир
Фантастика:
боевая фантастика
космическая фантастика
космоопера
5.00
рейтинг книги
Наемный корпус

Телохранитель Генсека. Том 3

Алмазный Петр
3. Медведев
Фантастика:
попаданцы
альтернативная история
5.00
рейтинг книги
Телохранитель Генсека. Том 3

Неудержимый. Книга XXI

Боярский Андрей
21. Неудержимый
Фантастика:
попаданцы
аниме
фэнтези
5.00
рейтинг книги
Неудержимый. Книга XXI

Тринадцатый VII

NikL
7. Видящий смерть
Фантастика:
фэнтези
попаданцы
аниме
5.00
рейтинг книги
Тринадцатый VII

Как я строил магическую империю 4

Зубов Константин
4. Как я строил магическую империю
Фантастика:
боевая фантастика
постапокалипсис
аниме
фантастика: прочее
фэнтези
5.00
рейтинг книги
Как я строил магическую империю 4

Древесный маг Орловского княжества 4

Павлов Игорь Васильевич
4. Орловское княжество
Фантастика:
аниме
фэнтези
попаданцы
5.00
рейтинг книги
Древесный маг Орловского княжества 4

Зодчий. Книга III

Погуляй Юрий Александрович
3. Зодчий Империи
Фантастика:
аниме
фэнтези
попаданцы
5.00
рейтинг книги
Зодчий. Книга III

Цикл "Отмороженный". Компиляция. Книги 1-14

Гарцевич Евгений Александрович
Отмороженный
Фантастика:
боевая фантастика
рпг
постапокалипсис
5.00
рейтинг книги
Цикл Отмороженный. Компиляция. Книги 1-14

Камень. Книга восьмая

Минин Станислав
8. Камень
Фантастика:
фэнтези
боевая фантастика
7.00
рейтинг книги
Камень. Книга восьмая

Первый среди равных. Книга VI

Бор Жорж
6. Первый среди Равных
Фантастика:
аниме
фэнтези
попаданцы
5.00
рейтинг книги
Первый среди равных. Книга VI

Учитель из прошлого тысячелетия

Еслер Андрей
6. Соприкосновение миров
Фантастика:
фэнтези
попаданцы
5.00
рейтинг книги
Учитель из прошлого тысячелетия

Шайтан Иван 4

Тен Эдуард
4. Шайтан Иван
Фантастика:
попаданцы
альтернативная история
8.00
рейтинг книги
Шайтан Иван 4

Сильнейший Столп Империи. Книга 5

Ермоленков Алексей
5. Сильнейший Столп Империи
Фантастика:
аниме
фэнтези
фантастика: прочее
попаданцы
5.00
рейтинг книги
Сильнейший Столп Империи. Книга 5