Чтение онлайн

на главную - закладки

Жанры

Шрифт:

Борис Яковлевич не очень был склонен к аналогиям, упрощенным моделям, картинам, иллюстрирующим мысль. Он часто повторял, что картина — образование дву­мерное и, следовательно, неглубокое. Аналогия может появиться позже, а вначале должна быть формула, числен­ная оценка. И еще, посмеиваясь, он любил говорить о том, что иных формулы гипнотизируют, поскольку формула — это математика, а математика, как известно, наука точ­ная. Это преувеличенное почтение к формулам обычно испытывают люди, которые никогда не создавали их и поэтому не чувствуют ни их слабостей, ни таящихся в них возможностей.

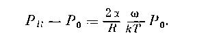
Первая работа Бориса Яковлевича, посвященная изуче­нию поведения пор в кристаллах (она появилась еще в 1946 году), начинается с анализа давно известной формулы лорда Кельвина, которая устанавливает связь между давлением пара вблизи изогнутой поверхности капли ( Р R ), ее радиусом ( R ) и давлением пара вблизи плоской поверхности жидкости, из которой капля состоит ( Р0 ). Вот эта формула:

В нее входят величины поверхностного натяжения ( ), объема, приходящегося на один атом в жидкости ( ), тем­пературы ( Т ) и некоторая постоянная величина к , так на­зываемая постоянная Больцмана.

 

Легко заметить, что в формуле Кельвина нет ничего спе­цифически «жидкого» и ее можно применять и к твердым закристаллизовавшимся каплям. Надо только при этом помнить, что поверхностное натяжение зависит от ориен­тации кристаллографических плоскостей, охраняющих застывшую каплю. Но это деталь, а в главном формула применима к твердым кристаллическим каплям. Из фор­мулы следует, что, чем меньше капля, т. е. чем меньше ее радиус, тем на большую величину давление пара вблизи ее поверхности превосходит давление пара вблизи плоской поверхности вещества, из которого капля состоит.

Понять это легко. Ведь что означают слова «упругость пара больше» или «упругость пара меньше»? Они означают, что при прочих равных условиях в газе вблизи поверх­ности будет большая или меньшая концентрация атомов вещества капли. Атом, который расположен на искривлен­ной поверхности капли, имеет меньшее число соседей, чем тот, который расположен на плоской. В случае предельно маленькой капли, состоящей из одного атома, этот атом и находился бы па «поверхности» в единственном числе, вообще не имея соседей. Капля из одного атома, конечно же, никакая не капля, но эта условность помогает почув­ствовать тенденцию: чем меньше капля, тем меньше сосе­дей у атома, сидящего на ее поверхности. А меньше сосе­дей — меньше связей, удерживающих атом на поверхности, меньше связей — легче оторваться, легче оторваться — большее число атомов это совершит, и следовательно, боль­шая их концентрация будет в газе вблизи поверхности. Именно это строго и описывает формула.

Борис Яковлевич прочел эту формулу по-своему, не­ожиданно и формально очень строго. Он обратил внима­ние на то, что она примечательна не только теми величи­нами, которые входят в нее, но и теми, которые в ней отсутствуют. Из величин, характеризующих вещество капли, в формулу входят лишь поверхностная энергия и объем, приходящийся на один атом. Масса атома не входит. Формально это означает, рассуждал он, что формула го­дится для вещества с любой массой атома, от бесконечной до равной нулю. Бесконечная масса — это по ту сторону разумного, а вот о «веществе» с нулевой массой «атома» можно говорить вполне серьезно, не забывая, однако, о кавычках. Таким «веществом» является пустота.

Несколько странное соседство слов «вещество» и «пу­стота». В действительности имеется в виду не «вещество», а отсутствие вещества. Например, в узле кристаллической решетки нет атома, которому следовало бы в этом узле быть. Этот свободный от атома узел можно назвать «ато­мом пустоты», а физики его иногда называют «вакансией». Очевидно, скопление большого количества «атомов пу­стоты» должно образовать «каплю пустоты», т. е. пору. Все это по аналогии с реальными атомами и реальным ве­ществом: скопление большого количества, скажем, атомов железа, образует каплю железа. Разумеется, при темпе­ратуре более высокой, чем температура плавления железа.

Итак, пустой узел в кристаллической решетке — «атом пустоты», пора в кристалле — «капля пустоты», и они должны подчиняться формуле, которая впервые была написана более 100 лет назад и применительно к «капле пустоты» впервые прочтена Борисом Яковлевичем Пи­несом.

Теперь о следствиях нового прочтения формулы. И не о всех, а о самом главном, ради которого стоило присталь­но всмотреться в старую формулу и заново ее прочесть.

 

Перенос жидкости из капли в блюдце

 

Капля пустоты (пора) испаряется в кристалл. Вблизи поры много вакансий (зачерненные кружки), вдали — мало

Вот опыт, который демонстрируют на школьных уро­ках физики или рассказывают о нем. Небольшой стеклян­ный колпак (перевернутый стакан) установлен на стек­ле. Под колпаком блюдечко с водой и рядом на предмет­ном стеклышке капли воды. Эти капли надо поместить на стеклышко после того, как пространство под колпаком на­сытится водяным паром, который образуется над плоской поверхностью воды в блюдце. Через некоторое время капли исчезнут — они испарятся, а возникшие при этом в водяном паре молекулы воды сконденсируются на по­верхности воды в блюдце.

Итак, в начале опыта под колпаком было три объекта: вода в блюдце, вода в каплях и насыщенный водяной пар. Опыт окончился, когда один из объектов исчез — капель не стало. Здесь все ясно: согласно формуле, давление пара над изогнутой поверхностью водяной капли больше, чем над плоской поверхностью воды в блюдце, и пар под влиянием этой разности давлений двигался по направлению к блюд­цу — уходил оттуда, где его давление больше, и приходил туда, где его давление меньше. Чтобы вблизи своей поверх­ности поддерживать давление, предписываемое ей форму­лой, капля должна все время испаряться. Она это добро­совестно делала и в конце концов исчезла.

А теперь тот же опыт только не с каплями и атомами ре­альной жидкости, а с «каплями» и «атомами» пустоты. Вме­сто колпака с блюдцем и каплей — монокристалл. Он огра­нен плоскими поверхностями и в объеме имеет одну пору сферической формы. Вблизи изогнутой поверхности поры (капля!) концентрация вакансий повышена, а вблизи плоской поверхности, которая отделяет кристалл от ок­ружающего пространства (вода в блюдце!), концентрация вакансий нормальная, не повышена. Очевидно, появится поток вакансий от поры к поверхности кристалла, и, подобно капле воды, пора исчезнет — «испарится в кри­сталл». Образовавшийся при этом в кристалле избыток вакансий со временем сгладится — вакансии либо по­глотятся внутренними стоками, либо с помощью диффузии переместятся к внешней поверхности кристалла.

Поделиться:
Популярные книги

Войны Наследников

Тарс Элиан
9. Десять Принцев Российской Империи
Фантастика:
городское фэнтези
попаданцы
аниме
5.00
рейтинг книги
Войны Наследников

Петля, Кадетский Корпус. Книга пятая

Алексеев Евгений Артемович
5. Петля
Фантастика:
боевая фантастика
попаданцы
аниме
5.00
рейтинг книги
Петля, Кадетский Корпус. Книга пятая

Вперед в прошлое 11

Ратманов Денис
11. Вперед в прошлое
Фантастика:
попаданцы
альтернативная история
5.00
рейтинг книги
Вперед в прошлое 11

Монстр из прошлого тысячелетия

Еслер Андрей
5. Соприкосновение миров
Фантастика:
попаданцы
аниме
фэнтези
5.00
рейтинг книги
Монстр из прошлого тысячелетия

Кай из рода красных драконов

Бэд Кристиан
1. Красная кость
Фантастика:
попаданцы
альтернативная история
5.00
рейтинг книги
Кай из рода красных драконов

Тринадцатый V

NikL
5. Видящий смерть
Фантастика:
фэнтези
попаданцы
аниме
5.00
рейтинг книги
Тринадцатый V

Стеллар. Трибут

Прокофьев Роман Юрьевич
2. Стеллар
Фантастика:
боевая фантастика
рпг
8.75
рейтинг книги
Стеллар. Трибут

На границе империй. Том 9. Часть 5

INDIGO
18. Фортуна дама переменчивая
Фантастика:
космическая фантастика
попаданцы
5.00
рейтинг книги
На границе империй. Том 9. Часть 5

Император Пограничья 7

Астахов Евгений Евгеньевич
7. Император Пограничья
Фантастика:
аниме
фэнтези
попаданцы
5.00
рейтинг книги
Император Пограничья 7

Романов. Том 1 и Том 2

Кощеев Владимир
1. Романов
Фантастика:
фэнтези
попаданцы
альтернативная история
5.25
рейтинг книги
Романов. Том 1 и Том 2

Третий Генерал: Тома I-II

Зот Бакалавр
1. Третий Генерал
Фантастика:
городское фэнтези
попаданцы
аниме
сказочная фантастика
5.00
рейтинг книги
Третий Генерал: Тома I-II

Как я строил магическую империю 4

Зубов Константин
4. Как я строил магическую империю
Фантастика:
боевая фантастика
постапокалипсис
аниме
фантастика: прочее
фэнтези
5.00
рейтинг книги
Как я строил магическую империю 4

Миллионщик

Шимохин Дмитрий
3. Подкидыш
Фантастика:
попаданцы
альтернативная история
5.00
рейтинг книги
Миллионщик

Виконт. Книга 4. Колонист

Юллем Евгений
Псевдоним `Испанец`
Фантастика:
фэнтези
попаданцы
аниме
7.50
рейтинг книги
Виконт. Книга 4. Колонист