Чтение онлайн

на главную - закладки

Жанры

Шрифт:

Выше мы только вскользь упомянули о гипотезе С. Райта, которая объясняет сопротивление популяции действию отбора тонкой «подогнанностью» друг к другу аллелей разных локусов. Такая взаимозависимость эффектов генов скорее всего должна проявляться в процессе индивидуального развития организма.

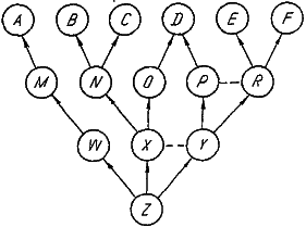
Рассмотрим абстрактную схему формирования взрослых структур А — F(рис. 15). За каждой из них стоит ряд зародышевых структур, нередко взаимодействующих друг с другом. На схеме эти зачатки условно разделены на два класса: поздние М — Ри ранние W— Y.Формально зиготу тоже можно считать зачатком (Z), общим для всех взрослых и эмбриональных структур организма. Каждая сплошная стрелка на схеме олицетворяет собой все многообразие генов, ответственных за развитие более раннего зачатка в более поздний. Эти гены можно символизировать сочетанием двух прописных букв — первая относится к более раннему зачатку, вторая — к более позднему. Взаимодействия типа эмбриональной индукции обозначены на схеме горизонтальными пунктирными линиями.

Представим себе, что селекционер стремится изменить вполне конкретную взрослую структуру. Ясно, что для этого он должен в каких-то генах, скрытых за стрелками, ведущими к данной структуре, зафиксировать новые (благоприятные с точки зрения селекционера) аллели. Из рис. 15 видно, что для изменения структуры Аможно замещать аллели в генах ZW, WMи МА.

Рис. 15.Схема индивидуального развития структур организма.

Z — зигота; W—Y — ранние зачатки; M — R — поздние зачатки; А — F— взрослые структуры. Штриховой линией отмечена эмбриональная индукция.

Обратим внимание на путь формирования структуры В.Отметим, что из позднего зачатка Nкроме нее возникает еще одна взрослая структура С.Если эта последняя прямо связана с основными показателями приспособленности, то ее развитие должно быть оптимизировано естественным отбором. Для изменения структуры Вможно замещать аллели в любых локусах, стоящих за стрелками, ведущими к ней. Однако такие замещения в ранних генах кроме изменения структуры Вмогут затронуть еще одну структуру — С,а это уже может снизить уровень главных показателей приспособленности. Чтобы скомпенсировать данный негативный эффект, следовало бы структуре С возвратить ее прежнее значение, зафиксировав для этого новый аллель по одному из поздних локусов NC,т. е. в данном случае для адаптивного сдвига нужно зафиксировать два новых аллеля.

Обобщая этот пример, можно показать, что чем больше нитей связывает развитие какой-то структуры с другими, тем больше новых аллелей нужно зафиксировать для достижения одного и того же сдвига структуры у взрослой особи. Выходит, что отбор в основном должен оперировать с генами, которые управляют завершающими стадиями развития организма, тогда как гены, контролирующие ранние стадии, фактически не допускают изменений. Это хорошо объясняет сохранение основного плана строения животного в ходе эволюции. В то же время, чем раньше обособляется зачаток, тем выше шансы на эволюционный сдвиг у развивающейся из этого зачатка структуры.

Любопытно, что у растений негативные эффекты искусственного отбора выражены гораздо меньше, чем у животных. Особенно впечатляюще выглядят результаты знаменитого Иллинойсского эксперимента. Группа американских селекционеров в самом конце XIX века приступила к отбору, направленному на изменение ряда количественных признаков у кукурузы. Этот опыт продолжается до сих пор. На рис. 16 показано, как изменялось в ходе 76 поколений отбора содержание масла в семенах. Как видно, ответ на отбор может сохраняться в течение весьма продолжительного периода.

Рис. 16.Отбор на изменение содержания масла в семенах кукурузы (по: [Dudley, 1977]).

Эту особенность растений можно объяснить с двух позиций. Во-первых, в отличие от животных в жизненном цикле растений есть стадия гаплоидного организма — гаметофита. Всем известная цветочная пыльца является скоплением мужских гаметофитов. Биомасса пыльцевого зерна — продукт деятельности гаплоидного генома одного ядра. Этот же геном обеспечивает превращение пыльцевого зерна в трубку, прорастающую сквозь пестик до завязи. По этой трубке в зародышевый мешок доставляются мужские гаметы. Избыток пыльцевых зерен создает условия для соревнования гаметофитов по оплодотворяющей способности, т. е. на стадии мужского гаметофита идет как бы проверка большого числа генов на качество их работы. Это можно рассматривать как приспособление для снижения мутационного генетического груза.

Не исключено, что еще одной причиной слабого сопротивления растений давлению отбора является довольно низкая степень интеграции их индивидуального развития. Об этом может свидетельствовать, например, отсутствие каких-либо нарушений в развитии гибридов, полученных при соединении весьма отдаленных геномов. Хорошо известна мощность и высокая фертильность амфидиплоидов, у которых совмещены геномы растений, принадлежащих разным родам. Достаточно вспомнить о мягкой пшенице, совмещающей геномы твердой пшеницы и эгилопса, или об искусственно полученном пшенично-ржаном гибриде — тритикале.

Ограничения на скорость эволюции

Поставим в центр нашего рассмотрения вид — главное действующее лицо в макроэволюционной драме. Его жизнь протекает в очень сложной экологической обстановке.

Образно говоря, ему постоянно приходится заботиться о двух вещах: о возобновлении пищевых ресурсов и о защите своих особей от истребления. Пищевые и прочие ресурсы вид, как правило, делит с другими видами-конкурентами, а жизни его особей угрожают многочисленные хищники. К тому же пищей для рассматриваемого вида обычно служат живые организмы, все время пытающиеся поднять свою приспособленность, вырабатывая какие-то специальные средства защиты и сокращая тем самым ресурсы вида. Наконец, над всей этой борьбой стоят геологические и географические факторы. Изолирующие барьеры возникают и исчезают, климат меняется, происходят засоление и опреснение водоемов и т. д. Все это ухудшает условия жизни вида. Собственно говоря, возникает естественный вопрос, как вообще можно существовать в таких экстремальных условиях, да еще на протяжении миллионов лет. Этот вопрос несколько сродни другому: как каждый отдельный человек умудряется дожить до седин, если, оглядываясь на прожитую жизнь, он может насчитать до десятка случаев, когда был на волосок от смерти. Тем не менее довольно высокая средняя продолжительность жизни явно свидетельствует о том, что риск погибнуть во цвете лет не так уж велик. Жизнь вида представляется нам такой ненадежной потому, что мы несколько сгустили краски, просуммировав все факторы опасности.

Реальная ситуация обычно не так уж страшна, так как давление неблагоприятных факторов и главное скорость нарастания этого давления не слишком велики. Наконец, вид, разобщенный сложной географической средой на огромное число изолированных популяций, не может быть всюду застигнут врасплох действием неблагоприятного фактора. Какая-то его часть может спастись и после разрушения изолирующих барьеров занять свой прежний ареал. Правда, такой способ выживания эволюцией (тем более прогрессивной) не назовешь, но в эффективности ему не откажешь.

Теперь представим себе ситуацию, когда виду, образно выражаясь, отступать некуда, поскольку он представлен только одной компактной популяцией, и на него надвигается неблагоприятный фактор: вид-конкурент или вид-хищник, или просто ухудшается климат. В данной ситуации выживание вида определяется исключительно скоростью преобразования его наследственной информации. Старых «знаний» о среде ему теперь недостаточно, их необходимо подновить. На языке популяционной генетики такое подновление означает замещение аллелей в нескольких генных локусах. Хорошо, если эти аллели в генетическом фонде вида уже имеются, притом в приличных концентрациях.

Поделиться:
Популярные книги

Герой

Бубела Олег Николаевич
4. Совсем не герой
Фантастика:
фэнтези
попаданцы
9.26
рейтинг книги
Герой

Кодекс Охотника. Книга XVII

Винокуров Юрий
17. Кодекс Охотника
Фантастика:
фэнтези
попаданцы
аниме
5.00
рейтинг книги
Кодекс Охотника. Книга XVII

Кай из рода красных драконов 4

Бэд Кристиан
4. Красная кость
Фантастика:
фэнтези
попаданцы
5.00
рейтинг книги
Кай из рода красных драконов 4

Имя нам Легион. Том 3

Дорничев Дмитрий
3. Меж двух миров
Фантастика:
боевая фантастика
рпг
аниме
5.00
рейтинг книги
Имя нам Легион. Том 3

Мое ускорение

Иванов Дмитрий
5. Девяностые
Фантастика:
попаданцы
альтернативная история
6.33
рейтинг книги
Мое ускорение

Второгодка. Книга 2. Око за око

Ромов Дмитрий
2. Второгодка
Фантастика:
героическая фантастика
альтернативная история
фэнтези
5.00
рейтинг книги
Второгодка. Книга 2. Око за око

Законник Российской Империи. Том 2

Ткачев Андрей Юрьевич
2. Словом и делом
Фантастика:
городское фэнтези
альтернативная история
аниме
дорама
6.40
рейтинг книги
Законник Российской Империи. Том 2

Золотой ворон

Сакавич Нора
5. Все ради игры
Фантастика:
зарубежная фантастика
5.00
рейтинг книги
Золотой ворон

Мой муж – чудовище! Изгнанная жена дракона

Терин Рем
Любовные романы:
любовно-фантастические романы
5.00
рейтинг книги
Мой муж – чудовище! Изгнанная жена дракона

Второй кощей

Билик Дмитрий Александрович
8. Бедовый
Фантастика:
юмористическое фэнтези
городское фэнтези
мистика
5.00
рейтинг книги
Второй кощей

Бастард Императора

Орлов Андрей Юрьевич
1. Бастард Императора
Фантастика:
фэнтези
аниме
5.00
рейтинг книги
Бастард Императора

Дважды одаренный. Том VI

Тарс Элиан
6. Дважды одаренный
Фантастика:
аниме
альтернативная история
фэнтези
фантастика: прочее
5.00
рейтинг книги
Дважды одаренный. Том VI

Деревенщина в Пекине 3

Афанасьев Семен
3. Пекин
Фантастика:
попаданцы
дорама
5.00
рейтинг книги
Деревенщина в Пекине 3

Система Возвышения. (цикл 1-8) - Николай Раздоров

Раздоров Николай
Система Возвышения
Фантастика:
боевая фантастика
4.65
рейтинг книги
Система Возвышения. (цикл 1-8) - Николай Раздоров