Чтение онлайн

на главную - закладки

Жанры

Шрифт:

Итак, эффект среды на признак можно рассматривать как сумму большого числа легких толчков, направляющих его развитие с равной вероятностью как в сторону увеличения, так и в сторону уменьшения. В итоге в популяции формируется распределение по признаку, близкое к нормальному. Эти толчки не сдвигают среднего значения признака, которое олицетворяет собой «цель» развития признака, его генотипическое значение.Отсюда вытекает, что среднее значение количественного признака в группе изогенных особей можно рассматривать как его генотипическое значение, которое каждый организм как бы пытается реализовать в ходе своего развития. Тогда как величина средовой дисперсии олицетворяет собой уровень «шума среды», «мешающего» особи реализовать «цель» ее генотипа. Теперь попробуем оценить вклад в фенотипическую изменчивость наследственной компоненты.

Гибридологический анализ количественных признаков

Допустим, мы имеем дело с двумя изогенными линиями Р 1и Р 2,принадлежащими одному виду. Несмотря на одинаковые условия среды, их средние значения могут сильно различаться, особенно если линии выделены из географически удаленных популяций. Мы исходим из того, что число генов в геномах сравниваемых линий одинаково, поэтому наследственные различия между ними вызваны разным набором аллелей одних и тех же локусов. Представим себе чисто условно, что в генотипе линии Р 1(с маленьким значением признака) собраны «слабые» аллели, которые будем обозначать строчными буквами, а в генотипе линии Р 2(с большим значением признака) — «сильные» аллели, для их обозначения будем применять прописные буквы.

Пусть разница средних значений признака двух изогенных линий обусловлена отличием в силе аллелей только одного локуса. Тогда генотип линии Р 1обозначим аа,а генотип линии Р 2— АА.Примем еще одно упрощающее условие: пусть по степени доминирования оба аллеля и А)равны (h = 0,5). Теперь введем представление об эффекте аллельного замещения. Будем считать, что замещение одного слабого аллеля на сильный увеличивает генотипическое значение признака на единиц. Тогда замещение обоих слабых аллелей на сильные увеличит это значение на 2единиц. Вспомним, что генотипическое значение признака равно его среднему значению у особей с одинаковым генотипом, т. е.

(4.6)

символ < > означает среднее значение признака в линии.

Проведя массовые скрещивания особей таких линий, получим популяцию гибридов F 1:

Все особи популяции F 1имеют один и тот же генотип аА,поэтому изменчивость признака в данном случае обусловлена исключительно средой. Будем считать, что средовая дисперсия для всех популяций (F 1, P 1и Р 2) одинакова и равна e 2. Среднее значение признака у особей F 1(обозначим его т) должно равняться генотипическому значению гетерозигот аА,т. е. оно должно на единиц превосходить среднее значение особей линии P 1и настолько же уступать среднему значению особей Р 2.Иными словами, mпопадает точно в середину интервала между средними значениями признака обеих родительских популяций. Тогда средние значения признака всех рассмотренных популяций можно представить как

<F 1> = m; < Р 1> = m — а; <Р 2>= m+ а. (4.7)

Итак, m, m — аи m + а— генотипические значения признака у особей с генетической конституцией аА, ааи ААсоответственно.

Перейдем к популяции F 2, возникшей или при самооплодотворении, или при панмиктическом скрещивании особей из F 1:

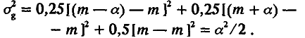
Из этой схемы видно, что вся совокупность особей F 2разбивается на три генотипических класса; каждый из них можно охарактеризовать его долей в выборке и средним значением признака. Одна четверть особей имеет генотип аа,другая четверть — генотип ААи половина — генотип аА.Поскольку средние значения признака у особей с этими генотипами равны соответственно m — а, m + аи m,то по (4.3) и (4.4) легко рассчитать среднее значение (М)и дисперсию ( g 2) для распределения особей по генотипическим классам:

(4.8)

(4.9)

Таким образом, популяция F 2обладает дисперсией ( а 2/2), обусловленной различием особей по генотипу. Кроме того, из-за «шума» среды популяция обладает и средовой дисперсией e 2. Этот шум не сдвигает средних значений, поэтому <F 2>= m.Эффекты среды и генотипа независимы, отсюда следует, что дисперсия по признаку в поколении F 2должна быть больше средовой на положительную величину а 2/2, т. е.

(4.10)

Теперь попробуем рассмотреть более общий случай, когда особи двух изогенных линий различаются аллелями nнесцепленных локусов. По-прежнему будем считать, что все слабые аллели собраны у линии P 1,а все сильные — у линии Р 2.Проведем их скрещивание:

При оценке среднего значения популяции F 1сделаем два предположения: во-первых, по степени доминирования все аллели равны и, во-вторых, замещение в каждом локусе одного слабого аллеля на сильный увеличивает генотипическое значение признака на одну и ту же величину а.Следовательно, разность средних значений родительских популяций должна быть равна 2 na,а среднее значение признака в популяции F,(обозначим его <F 1>) будет находиться в точке m,т. е. точно посередине между средними значениями родительских линий. Такая модель, где вклады всех аллелей в величину признака суммируются, получила название аддитивной.Главным основанием для ее применения является попадание среднего значения признака в популяциях F 1и F 2посередине между средними значениями родительских популяций. Итак, для случая nлокусов

<F 1> = m; <P 1> = m — na; <Р 2> = m + na. (4.11)

Так как генотип всех особей F 1одинаков, то изменчивость признака в этой популяции обусловлена только влиянием среды, и ее дисперсия равна e 2.

Теперь перейдем к популяции F 2,представляющей собой смесь огромного числа (3 n) генотипов. Формулу генотипа каждой особи можно записать как ряд из nаллельных пар со случайной комбинацией сильных и слабых аллелей в каждой паре. Поскольку аллельный состав каждого локуса формируется независимо от остальных, то генотипическая дисперсия популяции F 2должна представлять собой сумму дисперсий, каждая из которых отражает варьирование у разных особей числа сильных аллелей в каком-то одном локусе. Напомним, что в данной, аддитивной, модели замещение в любом локусе слабого аллеля на сильный ведет к увеличению генотипического значения признака на одну и ту же величину а.Отсюда следует (см. (4.9)), что каждый из nлокусов вносит в генотипическую дисперсию поколения F 2один и тот же вклад а 2/2. Итак, величину фенотипической дисперсии 2в популяции F 2можно передать формулой

2 = e 2 + na 2/2. (4.12)

Это равенство вместе с другим

2> — <Р 1> = 2na(4.13)

образует систему двух независимых уравнений, позволяющих определить величину п:

(4.14)

Хотя эта знаменитая формула Кастла — Райта верна лишь в рамках аддитивной модели, она дает возможность ориентировочно подойти к числу генетических факторов, ответственных за межлинейную разницу величины признака.

Поделиться:
Популярные книги

Дважды одаренный. Том III

Тарс Элиан
3. Дважды одаренный
Фантастика:
альтернативная история
аниме
фэнтези
фантастика: прочее
юмористическое фэнтези
5.00
рейтинг книги
Дважды одаренный. Том III

"Фантастика 2025-103". Компиляция. Книги 1-17

Поселягин Владимир Геннадьевич
Фантастика 2025. Компиляция
Фантастика:
боевая фантастика
попаданцы
альтернативная история
фэнтези
5.00
рейтинг книги
Фантастика 2025-103. Компиляция. Книги 1-17

Академия

Сай Ярослав
2. Медорфенов
Фантастика:
юмористическая фантастика
попаданцы
аниме
5.00
рейтинг книги
Академия

Искатель 4

Шиленко Сергей
4. Валинор
Фантастика:
рпг
фэнтези
попаданцы
5.00
рейтинг книги
Искатель 4

Наследник жаждет титул

Тарс Элиан
4. Десять Принцев Российской Империи
Фантастика:
городское фэнтези
попаданцы
аниме
5.00
рейтинг книги
Наследник жаждет титул

Я Гордый часть 2

Машуков Тимур
2. Стальные яйца
Фантастика:
фэнтези
попаданцы
аниме
5.00
рейтинг книги
Я Гордый часть 2

Идеальный мир для Демонолога 10

Сапфир Олег
10. Демонолог
Фантастика:
боевая фантастика
юмористическая фантастика
аниме
5.00
рейтинг книги
Идеальный мир для Демонолога 10

Кодекс Охотника. Книга XXIV

Винокуров Юрий
24. Кодекс Охотника
Фантастика:
фэнтези
попаданцы
аниме
5.00
рейтинг книги
Кодекс Охотника. Книга XXIV

Царь царей

Билик Дмитрий Александрович
9. Бедовый
Фантастика:
фэнтези
мистика
5.00
рейтинг книги
Царь царей

Враг из прошлого тысячелетия

Еслер Андрей
4. Соприкосновение миров
Фантастика:
фэнтези
попаданцы
аниме
5.00
рейтинг книги
Враг из прошлого тысячелетия

На границе империй. Том 5

INDIGO
5. Фортуна дама переменчивая
Фантастика:
боевая фантастика
попаданцы
7.50
рейтинг книги
На границе империй. Том 5

Агенты ВКС

Вайс Александр
3. Фронтир
Фантастика:
боевая фантастика
космическая фантастика
5.00
рейтинг книги
Агенты ВКС

Двойник короля 19

Скабер Артемий
19. Двойник Короля
Фантастика:
аниме
фэнтези
попаданцы
5.00
рейтинг книги
Двойник короля 19

Бестужев. Служба Государевой Безопасности

Измайлов Сергей
1. Граф Бестужев
Фантастика:
фэнтези
попаданцы
аниме
5.00
рейтинг книги
Бестужев. Служба Государевой Безопасности