Чтение онлайн

на главную - закладки

Жанры

Электроника?.. Нет ничего проще!
Шрифт:

Л. — Совсем нет. И ты в этом сейчас убедишься на конкретном примере с числовыми значениями. Предположим, что внутреннее сопротивление транзистора, включенного по схеме с общим эмиттером, равно 1 ком, а усиление по току = 60. Следовательно, крутизна этого транзистора равна 60: 1000 или 60 ма/в. Если напряжение U подается от источника с низким выходным сопротивлением, то при изменении тока базы оно не будет изменяться. Выходное сопротивление, как и в ламповой схеме, будет величиной, обратной крутизне, т. е. 16,7 ом (я не учитываю сопротивление резистора R, которое следует рассматривать как включенное параллельно этому сопротивлению 16,7 ом).

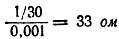
Но если выходное сопротивление источника, дающего напряжение U, равно 2 ком, то на каждый израсходованный на эмиттере миллиампер расход на базе составит 1/60 ма, вследствие чего напряжение U снизится на

Это отразится на выходе (усиление по напряжению почти равно единице), и выходное сопротивление увеличится на

, (напряжение снижается на 1/30 в на каждый потребленный миллиампер).

Следовательно, выходное сопротивление будет:

16,7 oм + 38 ом ~= 50 ом.

Н. — Значит, в схеме эмиттерного повторителя выходное сопротивление зависит от выходного сопротивления!

Л. — Схема эмиттерного повторителя значительно уменьшает эту зависимость, но не устраняет ее полностью как катодный повторитель.

Н. — Ну вот, видишь, транзисторы значительно уступают лампам.

Суперэмиттерный повторитель

Л. — Незнайкин!.. Если ты еще раз скажешь такую безобразную нелепость, я выставлю тебя за дверь и не покажу тебе транзисторной схемы «суперэмиттерного повторителя», не имеющего себе равного на лампах.

Н. — Как она устроена?

Л. — Схему я нарисовал тебе на рис. 50, а на рис. 51 схематически изобразил двухкаскадный усилитель, изучение которого поможет тебе понять схему на рис. 50. Ты видишь, что на схеме рис. 51 ток базы транзистора Т1 (транзистор типа n-р-n) направлен от источника напряжения U; его величина Iб1. Ток коллектора Iк1 транзистора Т1идет в обратном направлении (оно показано стрелкой и соответствует условному направлению движения тока); следовательно, его можно взять непосредственно с базы транзистора Т2 (Iк1 = Iб2) (транзистор типа р-n-р). Ток коллектора Iк2 транзистора Т2 проходит по резистору R и создает выходное напряжение Uвых.

Рис. 50. Двухкаскадный вариант устройства с малым выходным сопротивлением.

Рис. 51. Двухкаскадный усилитель с большим коэффициентом усиления.

Н. — Должен признаться, что меня соблазняет простота схемы — один резистор на целых два транзистора.

Л. — Изображенная на рис. 51 схема дает очень большое усиление по напряжению. Коэффициент усиления легко подсчитать по формуле

k = S12R,

где S1 — крутизна характеристики транзистора T12 — усиление по току транзистора Т2.

Например, при S1 = 12 ма/в, 2 = 50 и R = 500 ом коэффициент усиления по напряжению составит 300.

Если мы вычтем из напряжения U все выходное напряжение Uвых, чтобы приложить между эмиттером и базой транзистора T1 только напряжение U' = U — Uвых, то получим усилитель с коэффициентом отрицательной обратной связи (мы к этому вернемся), равным 300; схема такого усилителя показана на рис. 50.

Входное сопротивление усилителя приближается к мегому (чудовищная величина для классических транзисторных схем), а выходное сопротивление меньше 1,5 ом; коэффициент передачи по напряжению достигает 0,997 (в лучших каскадах, собранных по схеме катодного повторителя, с трудом удается поднять этот показатель до 0,95).

Н. — В самом деле очень соблазнительно, однако эта история для меня не очень ясна. Почему раньше не сделали ее эквивалента в схемах на лампах?

Л. — Незнайкин, найди мне «лампу р-n-р», и я покажу тебе такую схему, но боюсь, что тебе придется очень долго искать. По правде говоря, на лампах можно сделать одну очень сложную схему, основанную на этом же принципе, и которая тоже дает интересные результаты.

Н. — Значит изображенная на рис. 50 схема называется «суперэмиттерный повторитель»?

Л. — Честно говоря, это название дал схеме я сам. Впрочем оно малоизвестно, и я подумываю, не дать ли ей новое и более выразительное название.

Если хотят изменить полярность

Н. — Но мне кажется, что все эти «суперэмиттерные повторители» наделены одним общим недостатком: их выходное напряжение может устанавливаться только в одном направлении; иначе говоря, его нельзя сделать положительным или отрицательным, как нельзя изменить и направление тока, который это напряжение может дать (ведь нельзя же изменить направление тока в лампе или в транзисторе).

Л. — Абсолютно верно, Незнайкин. Следует сказать, что во многих случаях приходится иметь дело с напряжениями, всегда имеющими одну полярность. Если ты пожелаешь сделать лучше, можно использовать «последовательную пушпульную схему». Я не стану описывать эту систему (схему) во всех подробностях, а объясню лишь ее принцип.

Два транзистора включаются последовательно (рис. 52): на коллектор транзистора Т1 подается напряжение питания —Е, а на эмиттер транзистора Т2 — напряжение +E. Со специального фазовращателя на базы подаются соответствующие токи так, чтобы, например, сумма токов коллекторов транзисторов Т1 и Т2 оставалась постоянной. Разность этих токов I1 — I2 проходит через нагрузку, создает напряжение Uвых. Эта разность может быть как положительной, так и отрицательной.

Поделиться:
Популярные книги

Древесный маг Орловского княжества 6

Павлов Игорь Васильевич
6. Орловское княжество
Фантастика:
аниме
фэнтези
попаданцы
5.00
рейтинг книги
Древесный маг Орловского княжества 6

Граф

Ланцов Михаил Алексеевич
6. Помещик
Фантастика:
альтернативная история
5.00
рейтинг книги
Граф

Неудержимый. Книга XXX

Боярский Андрей
30. Неудержимый
Фантастика:
аниме
фэнтези
фантастика: прочее
попаданцы
5.00
рейтинг книги
Неудержимый. Книга XXX

Двойник короля 21

Скабер Артемий
21. Двойник Короля
Фантастика:
аниме
фэнтези
попаданцы
5.00
рейтинг книги
Двойник короля 21

Искатель 7

Шиленко Сергей
7. Валинор
Фантастика:
рпг
фэнтези
попаданцы
гаремник
5.00
рейтинг книги
Искатель 7

Газлайтер. Том 2

Володин Григорий
2. История Телепата
Фантастика:
попаданцы
альтернативная история
аниме
5.00
рейтинг книги
Газлайтер. Том 2

Черный маг императора 3

Герда Александр
3. Черный маг императора
Фантастика:
попаданцы
аниме
5.00
рейтинг книги
Черный маг императора 3

Надуй щеки! Том 3

Вишневский Сергей Викторович
3. Чеболь за партой
Фантастика:
попаданцы
дорама
5.00
рейтинг книги
Надуй щеки! Том 3

Сокрушитель

Поселягин Владимир Геннадьевич
3. Уникум
Фантастика:
боевая фантастика
5.60
рейтинг книги
Сокрушитель

Идеальный мир для Лекаря 3

Сапфир Олег
3. Лекарь
Фантастика:
фэнтези
юмористическое фэнтези
аниме
5.00
рейтинг книги
Идеальный мир для Лекаря 3

Чужак

Листратов Валерий
1. Ушедший Род
Фантастика:
попаданцы
аниме
фэнтези
5.00
рейтинг книги
Чужак

Эволюционер из трущоб. Том 11

Панарин Антон
11. Эволюционер из трущоб
Фантастика:
аниме
фэнтези
фантастика: прочее
попаданцы
5.00
рейтинг книги
Эволюционер из трущоб. Том 11

Инженер Петра Великого 2

Гросов Виктор
2. Инженер Петра Великого
Фантастика:
попаданцы
альтернативная история
фэнтези
5.00
рейтинг книги
Инженер Петра Великого 2

Возмутитель спокойствия

Владимиров Денис
1. Глэрд
Фантастика:
фэнтези
боевая фантастика
попаданцы
5.00
рейтинг книги
Возмутитель спокойствия