Вместо картины

на главную - закладки

Жанры

Поделиться:

Вместо картины

Вместо картины
5.00 + -

рейтинг книги

Шрифт:

Вместо картины, 2015.

Пару слов о себе, почему я бросил физику, геофизику и после многих лет шатаний и мотаний по жизни стал художником.

Я был плохим физиком. В школе она давалась мне легко. Не знаю почему. В университете трудно. Она очень большая и в ней сложная математика, выходящая за пределы моих способностей и за пределы тех знаний по математике, которые дает обязательная программа физфака. А тут еще интерес к окружающей жизни, сильно подогретый поездкой в геологическую партию в Сибирь, прочие интересы молодости. Резкой смене профессии мешала угроза попасть в армию. Вместо университета оказаться в казарме не хотелось. И при выборе специализации я после некоторых блужданий по кафедрам ушел в геофизику. А потом уже на работе ушел в программирование. К простым кодам вычислительной машины, подальше от физики, геофизики и сейсмологии, к которой эти программы относились.

Задачи в геофизике тоже трудные. Я даже не знаю, как к ним подступиться. Что просили, то и делал. По сейсмическим волнам в Земле определял ее структуру. Модели на ЭВМ подбирал. Не исключено, что слишком хорошо. Там, где не было ни одной модели, согласующейся с сейсмическими данными, появлялись сотни. И поставленная задача оказывалась бессмысленной. Мне было стыдно. Особенно после защиты диссертации. Меня сделали старшим научным сотрудником, а что я мог сказать младшим – программируй, что рекомендуют.

Прошло много лет. Сейчас я художник. Хороший. Ничего по этой специальности не оканчивал. Наиболее творческий, метафизический элемент работы – выход на тему картины. Ну и, разное при этом приходит в голову.

Откуда взялась темная энергия? Посчитали по эффекту Доплера скорости звезд и соответственно расстояния до них. Прикинули размеры Вселенной. Получилось что-то вроде 15 миллиардов световых лет. Потом по светимости звезд очень определенного типа, по теории у них должна быть одинаковая светимость, посчитали расстояния до них. Назвали их «свечками». Расстояния до «свечек» по их светимости и по скоростям, которые дает эффект Доплера, не совпали. Ну и решили, что какое-то время Вселенная расширялась не так быстро как сейчас. Значит, что-то ее разгоняет. Назвали это что-то темной энергией.

Расстояния до звезд

Ну, а если красное смещение вызвано не только скоростью звезды, но и полетом света. Если взять так: фотон расширяется вместе с Вселенной. Т.е. любой свет, который висит во Вселенной (со скоростью света висит, я помню) потихоньку остывает наподобие реликтового излучения, просто он не такой старый. Остыл меньше. Ну, вроде как газ, который остывает при расширении. Совсем без обозначений тут не обойтись. Но, на вскидку, формулы должны быть совсем простенькими. Так, обозначим:

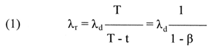
Т - возраст Вселенной сейчас, t - время полета света от звезды до Земли. Они же могут быть и расстояниями, если мерить расстояния в световых годах. - длина волны фотона, 0– длина волны в момент излучения в системе координат, связанной со звездой, d– длина волны с учетом эффекта Доплера, r– длина волны с учетом расширения Вселенной., с - скорость света, v - скорость убегания звезды. Отношение t/T обозначим .

Итак, пусть Вселенная расширяется с постоянной скоростью, граница со скоростью света. И пусть скорость звезды соответствует ее положению во Вселенной (чем дальше, тем быстрее) - расчет прикидочный, уточнять можно после. Тогда и v/c = .

Свет, который прилетел к нам сейчас, вылетел в момент T- t. Тогда расстояние до звезды было v(T- t). Сейчас оно vТ. Расширилась Вселенная за это время. Расстояние до звезды возросло. И увеличилась.

Для оценки эффекта Доплера берем из Интернета формулу Эйнштейна:

Можно посмотреть как при этом изменятся оценки расстояний до звезд. Я по-простому посчитал функции r и d для разных значений и построил графики (Рис. 1)

Рис. 1

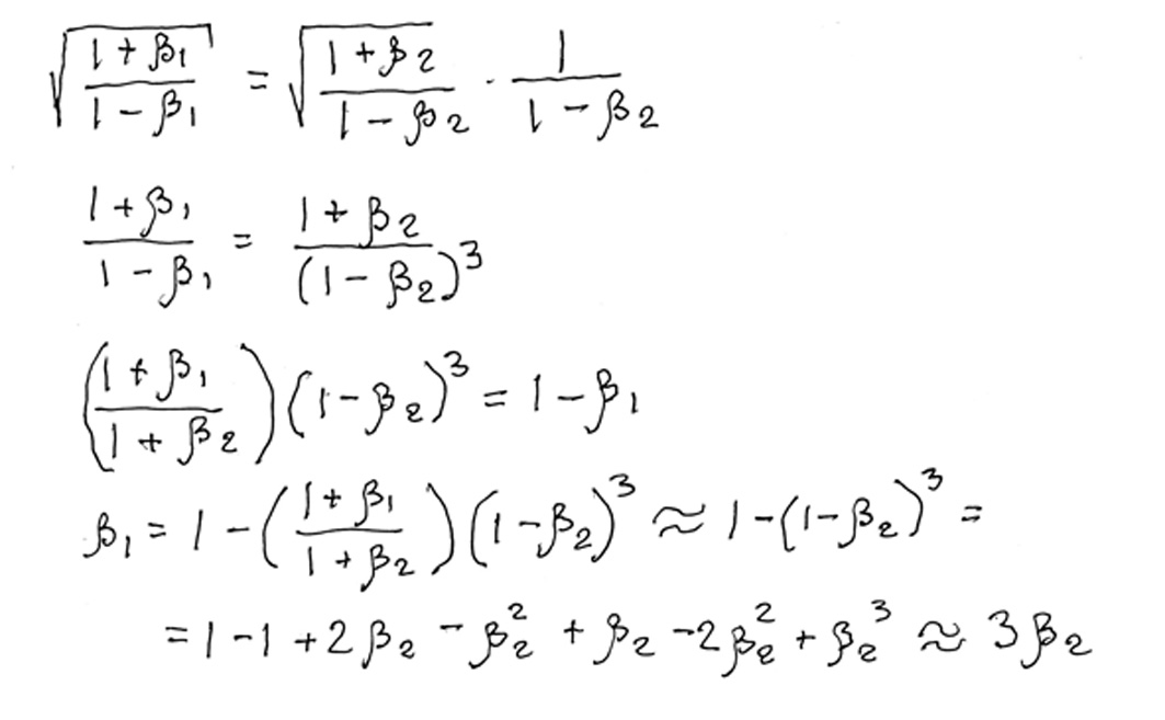
меняется от 0 до 1. Это расстояние до звезды, если радиус Вселенной брать за 1. Очевидно, что для малых и средних значений звезды приблизились примерно вдвое. Для совсем малых втрое, как показывают несложные выкладки (см. ниже). А для больших коррекция поменьше.

Звезды стали ближе. Да, от темной энергии что-нибудь осталось? Кроме того, у звезд, которые оказались к нам в 3 раза ближе, нужно в 9 раз подкрутить фитилек, поменять и другие параметры. Размеры галактик придется уменьшить.

А это потребует корректив гравитационных взаимодействий в галактике. Плотность звезд в ней увеличится. Если при этом не изменится угловая скорость вращения галактики (я как-то не соображу, как ее вычисляли, но вроде не должна), то придется уменьшить оценки для массы ядра галактики. А такие коррективы могут сильно толкнуть локтем темную не энергию, а материю. Подобные расчеты когда-то ее породили, они же могут ее и отменить.

Признаюсь, меня сильно удивили результаты моих незамысловатых расчетов. Но и ошибки я не могу найти.

Да, я не поленился и на пальцах прикинул, насколько может быть преувеличена масса галактики за счет темной материи. Для тех, кто не верит, что подобное можно прикинуть на пальцах, поясню: галактику представляют в виде шарового ядра и приплюснутого шара - эллипсоида, состоящего из звезд примерно одной плотности. Вне шарового ядра сила притяжения к нему убывает как 1/R2, а внутри звездного эллипсоида растет пропорционально R. Нужно подобрать массу ядра и плотность звездного облака так, чтобы обеспечить наблюдаемую скорость вращения звезд, которая согласно наблюдениям почти не зависит от R. Если размеры галактики уменьшились в 3 раза, то плотность звезд увеличилась в 27 раз. Ну и раза в 2 придется уменьшить массу ядра, чтобы обеспечить уменьшившуюся скорость вращения звезд из-за изменившихся размеров. Получаю цифру 54. Лезу в Википедию и нахожу там цифру 55 для соотношения масс темной и видимой материи. Правда, смешно? Метил пальцем в небо, а попал в яблочко. Я на точности этих прикидочных расчетов не настаиваю.

Подсчет коррекции для малых .

d(1) = r(2)

Т.е. смотрим как меняются оценки расстояний для одного и того же смещения длины волны.

 

<
12

Книги из серии:

Без серии

[5.0 рейтинг книги]
[5.0 рейтинг книги]
[5.0 рейтинг книги]
Комментарии:
Популярные книги

Запечатанный во тьме. Том 1. Тысячи лет кача

NikL
1. Хроники Арнея
Фантастика:
уся
эпическая фантастика
фэнтези
5.00
рейтинг книги
Запечатанный во тьме. Том 1. Тысячи лет кача

Глэрд VIII: Базис 2

Владимиров Денис
8. Глэрд
Фантастика:
фэнтези
боевая фантастика
попаданцы
5.00
рейтинг книги
Глэрд VIII: Базис 2

Афганский рубеж 3

Дорин Михаил
3. Рубеж
Фантастика:
попаданцы
альтернативная история
6.00
рейтинг книги
Афганский рубеж 3

Маленькая женщина Большого

Зайцева Мария
5. Наша
Любовные романы:
эро литература
современные любовные романы
5.00
рейтинг книги
Маленькая женщина Большого

Воронцов. Перезагрузка. Книга 5

Тарасов Ник
5. Воронцов. Перезагрузка
Фантастика:
попаданцы
альтернативная история
фэнтези
фантастика: прочее
6.00
рейтинг книги
Воронцов. Перезагрузка. Книга 5

Кодекс Охотника. Книга ХХ

Винокуров Юрий
20. Кодекс Охотника
Фантастика:
попаданцы
альтернативная история
аниме
5.00
рейтинг книги
Кодекс Охотника. Книга ХХ

Камень Книга двенадцатая

Минин Станислав
12. Камень
Фантастика:
боевая фантастика
городское фэнтези
аниме
фэнтези
5.00
рейтинг книги
Камень Книга двенадцатая

Клан

Русич Антон
2. Долгий путь домой
Фантастика:
боевая фантастика
космическая фантастика
5.60
рейтинг книги
Клан

Бояръ-Аниме. Газлайтер. Том 30

Володин Григорий Григорьевич
30. История Телепата
Фантастика:
альтернативная история
аниме
фэнтези
5.00
рейтинг книги
Бояръ-Аниме. Газлайтер. Том 30

Сирийский рубеж

Дорин Михаил
5. Рубеж
Фантастика:
попаданцы
альтернативная история
5.00
рейтинг книги
Сирийский рубеж

Кодекс Охотника. Книга XXV

Винокуров Юрий
25. Кодекс Охотника
Фантастика:
фэнтези
попаданцы
аниме
6.25
рейтинг книги
Кодекс Охотника. Книга XXV

Кодекс Охотника. Книга XXI

Винокуров Юрий
21. Кодекс Охотника
Фантастика:
фэнтези
попаданцы
аниме
5.00
рейтинг книги
Кодекс Охотника. Книга XXI

Здравствуй, 1985-й

Иванов Дмитрий
2. Девяностые
Фантастика:
альтернативная история
5.25
рейтинг книги
Здравствуй, 1985-й

Приказано выжить!

Малыгин Владимир
1. Другая Русь
Фантастика:
боевая фантастика
попаданцы
альтернативная история
7.09
рейтинг книги
Приказано выжить!