Чтение онлайн

на главную - закладки

Жанры

Транзистор?.. Это очень просто!
Шрифт:

2

Некоторые мощные транзисторы выдерживают температуру, близкую к 100 °C. Это достигается введением в полупроводниковый материал относительно больших доз примесей.

3

Ядро атома углерода содержит 6 протонов и 6 нейтронов; этот атом имеет 6 электронов, из которых 2 находятся на оболочке К и 4 на оболочке L.

4

Музей в Париже, аналогичный Политехническому музею в Москве. — Прим. перев.

5

В этом месте Любознайкин допускает неточность. Ток насыщения, о котором идет речь ниже, проходит при приложении обратного напряжения только к одному р-n переходу, т. е. между средним выводом транзистора (базой) и одним из крайних. — (Прим. ред.).

6

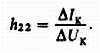
Сопротивления, о которых говорит Любознайкин, рассчитываются путем деления малых изменений напряжений на вызываемые ими изменения тока.

Следовательно, входное сопротивление

где Uб _ малое изменение напряжения между эмиттером и базой, а Iб — возникающее в результате этого изменение тока базы.

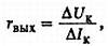
Точно так же выходное сопротивление

где Uк — изменение напряжения, приложенного между коллектором и эмиттером, а Iк — соответствующее изменение тока коллектора.

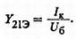
Иногда при расчетах используют параметр выходная проводимость транзистора, представляющий собой отношение изменения выходного тока к вызвавшему его изменению выходного напряжения:

(Прим. ред.).

7

Все эти рассуждения касаются транзистора структуры n-р-n. Для транзисторов структуры р-n-р полярности всех напряжений обратные. — Прим. ред.

8

Строго говоря, частотный предел работы транзистора определяется не временем пробега носителей через базу (это привело бы лишь к задержке усиливаемого сигнала), а различием времени пробега для отдельных носителей, в результате чего происходит «размывание» усиливаемого сигнала. Однако разброс времени пробега прямо пропорционален идущему в расчет среднему значению времени пробега, так что в конечном счете это время ограничивает частотный предел транзистора. — Прим. ред.

9

Емкость коллекторного перехода у тетрода остается такой же, как у триода о аналогичной геометрией. Уменьшение роли этой емкости на высоких частотах обусловлено снижением сопротивления области базы из-за того, что активная часть базы размещается в непосредственной близости от основного вывода базы. — Прим. ред.

10

Иногда пользуются понятием статической крутизны прямой передачи транзистора — отношением постоянного тока коллектора к постоянному напряжению база — эмиттер:

Прим. ред.

11

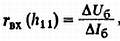
Пользуясь иной терминологией, говорят, что коэффициент передачи тока равен произведению полной проводимости прямой передачи на входное сопротивление: Y21h11= h21.

12

Механизм нелинейных искажений в усилителях с транзисторами сложнее, чем здесь описывается. В частности, большую роль играет внутреннее сопротивление источника усиливаемого сигнала. Изучив этот вопрос глубже, Незнайкин, быть может, умерил бы свой восторг. — Прим. ред.

13

Любознайкин несколько лукавит: он выбрал для точки P 5 В для того, чтобы эта точка оказалась на характеристике Iб — 0,2 мА, что облегчает расчеты по определению различных значений напряжений и токов.

14

На практике различают четыре вида обратной связи, схематически представленные на наших рисунках. Обратная связь может прилагаться к входу усилителя последовательно или параллельно с первоначальным сигналом. Она может порождаться выходным током (обратная связь по току) или напряжением, которое этот ток создаст на выходной нагрузке. Схемы 1 и 4 чаще применяются в однокаскадных усилителях. Схемы 2 и 3 чаще встречаются в усилителях, оканчивающихся трансформатором, причем обратной связью охватывается сразу 2–3 каскада.

15

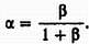
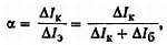
Это «усиление», обозначенное буквой , можно легко представить, записав, что

потому что Iэ = Iк+ Iб.

Разделив числитель и знаменатель на Iб, получим:

Отсюда видно, что меньше единицы. Выражение Iк/Iб, как мы помним, есть усиление по току в схеме с общим эмиттером, которое мы обозначаем буквой . Следовательно,

Для транзисторов с большим коэффициентом значение , приближается к единице, иначе говоря, изменения тока на выходе и входе примерно одинаковы.

16

Поделиться:
Популярные книги

Древесный маг Орловского княжества

Павлов Игорь Васильевич
1. Орловское княжество
Фантастика:
аниме
фэнтези
фантастика: прочее
попаданцы
5.00
рейтинг книги
Древесный маг Орловского княжества

Идеальный мир для Лекаря 27

Сапфир Олег
27. Лекарь
Фантастика:
аниме
фэнтези
5.00
рейтинг книги
Идеальный мир для Лекаря 27

Император Пограничья 4

Астахов Евгений Евгеньевич
4. Император Пограничья
Фантастика:
аниме
фэнтези
фантастика: прочее
попаданцы
5.00
рейтинг книги
Император Пограничья 4

Офицер империи

Земляной Андрей Борисович
2. Страж [Земляной]
Фантастика:
боевая фантастика
попаданцы
альтернативная история
6.50
рейтинг книги
Офицер империи

Я уже барон

Дрейк Сириус
2. Дорогой барон!
Фантастика:
боевая фантастика
попаданцы
аниме
5.00
рейтинг книги
Я уже барон

Камень Книга двенадцатая

Минин Станислав
12. Камень
Фантастика:
боевая фантастика
городское фэнтези
аниме
фэнтези
5.00
рейтинг книги
Камень Книга двенадцатая

Весь цикл «Десантник на престоле». Шесть книг

Ланцов Михаил Алексеевич
Десантник на престоле
Фантастика:
альтернативная история
8.38
рейтинг книги
Весь цикл «Десантник на престоле». Шесть книг

Неверный

Тоцка Тала
Любовные романы:
современные любовные романы
5.50
рейтинг книги
Неверный

Зодчий. Книга II

Погуляй Юрий Александрович
2. Зодчий Империи
Фантастика:
аниме
фэнтези
попаданцы
5.00
рейтинг книги
Зодчий. Книга II

Воронцов. Перезагрузка. Книга 4

Тарасов Ник
4. Воронцов. Перезагрузка
Фантастика:
попаданцы
альтернативная история
фэнтези
фантастика: прочее
6.00
рейтинг книги
Воронцов. Перезагрузка. Книга 4

Двойник Короля 4

Скабер Артемий
4. Двойник Короля
Фантастика:
аниме
фэнтези
фантастика: прочее
попаданцы
5.00
рейтинг книги
Двойник Короля 4

Шайтан Иван 4

Тен Эдуард
4. Шайтан Иван
Фантастика:
попаданцы
альтернативная история
8.00
рейтинг книги
Шайтан Иван 4

Отморозок 2

Поповский Андрей Владимирович
2. Отморозок
Фантастика:
попаданцы
5.00
рейтинг книги
Отморозок 2

Газлайтер. Том 31

Володин Григорий Григорьевич
31. История Телепата
Фантастика:
боевая фантастика
попаданцы
альтернативная история
фэнтези
5.00
рейтинг книги
Газлайтер. Том 31