Чтение онлайн

на главную - закладки

Жанры

Шрифт:

248

видимому, проливается много света на старые и новые вопросы арифметики и космологии» [125, с. 123].

Здесь интересна, но не ясна мысль Кантора о возмож- ности применения его теории к космологии. Дальше он в восторженном тоне пишет о философском значении созданной им теории типов бесконечных множеств: «Если уже конечные типы имеют невыразимую прелесть для всякого, кто способен к восприятию законов вечных истин,— а отсюда и произошла теория чисел,— то еще более высокую ступень в удовлетворении этого научного интереса представляют типы бесконечных множеств» (Там же).

Гильберт сказал о созданной Георгом Кантором теории множеств: «Я считаю, что она представляет собой высочайшее проявление математического гения, а также одно из самых высоких достижений чисто духовной деятельности человека» [265, с. 228].

К первому году работы С. В. Ковалевской в Стокгольме относится ее оживленная переписка с молодым немецким математиком Карлом Рунге. Имя Карла Рунге известно всем занимающимся приближенными вычислениями (способ Рунге-Кутта интегрирования дифференциальных уравнений) . В начале своей научной деятельности оь занимался теорией аналитических функций, в частности функций с существенно особыми точками.

Познакомилась Ковалевская с Рунге в Берлине в 1883 г., где он слушал лекции Вейерштрасса и Кронекера. Летом этого года Рунге писал своей матери из Берлина в Бремен, откуда он был родом, восторженное письмо о Софье Васильевне:

В субботу мы провели у нее очень интересный вечер. Общество состояло из г-жи Ковалевской и четырех молодых математиков, и разговор проходил, как обычно среди нас. Ей около 30 лет, у нее тонкое, думающее, немного грустное лицо, прелестное, когда она улыбается. Мне было странно с дамой вести беседу о математике и иметь возможность беседовать с полной свободой. Она вполне на высоте предмета. Это я в особенности заметил, когда она спросила меня о моих работах, по отличным вопросам, которые она предлагала. Перед тем я представлял себе ее остроносой, старообразной, очкастой и был изумлен, найдя, что научное образование может соединиться с совершенной женственностью [133, с. 43].

По словам Ирис Рунге, ее отец в те годы, о которых идет речь, был красивым, веселым молодым человеком и любил кататься на коньках. Писательница Маргарита фон Бюлов просила его разрешения изобразить его в рассказе «Адонис на коньках», придав ему, однако, плохой характер, что не соответствовало действительности.

249

Софья Васильевна делала сообщения группе молодых берлинских математиков по теории абелевых функций, и в числе ее слушателей были Рунге и Селиванов.

Первое из имеющихся писем, от 28 января 1884 г., состоит из двух частей: 1) совместного с Селивановым письма, написанного последним по-немецки, содержание которого мы уже привели, и 2) письма самого К. Рунге.

Рунге рассматривает ряд математических вопросов. Начинается письмо так: «Уважаемая фрау. Я ;уже давно собираюсь написать Вам. Я часто вспоминаю наше совместное пребывание летом, и хотелось бы, чтобы Вы были здесь, чтобы мы имели возможность сообщать друг другу что-либо интересное. В письменной форме это у меня плохо получается. Ваше письмо к Селиванову от 12 декабря я прочитал с интересом. Оба примера очень хороши. До сих пор я об этом никогда не думал» [Р 1]. Рунге не согласен только с одним пунктом в рассуждениях Ковалевской — речь идет

На примерах он высказывает свои соображения. Далее он спрашивает, знакома ли Ковалевская с доказательством существования решения дифференциального уравнения, восходящим как будто к Коши. Пусть дано уравнение

dy/dx=R(x, у),

ищется его решение при условии, что г/=7/0 при х=х0.

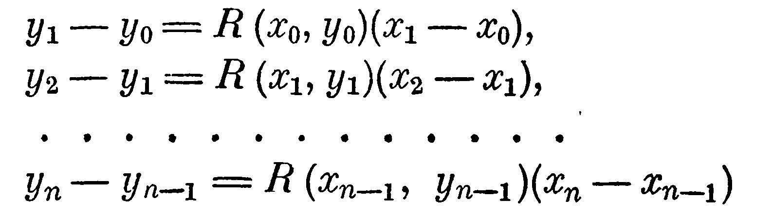
Рунге делит промежуток (х0, х) точками х0, хи ... х2, ... на части и составляет равенства

вует для достаточно малых значений хп — хп_! и представляет функцию от Xj у, которая удовлетворяет дифферев-

250

циальному уравнению при условии, что R (х, у) непрерывна вблизи (х0, у о,) и имеет первые производные. Это доказательство применимо и для неаналитических функций R(x,y), применимо и в более общих случаях [Р 1]. Рунге добавляет, что у него возникают и соображения о возможности практического вычисления интеграла.

О себе К. Рунге, вероятно, еще имевший мало опыта в преподавании, пишет следующее: «Я не очень доволен своими лекциями. Я ясно чувствую несовершенство моего изложения и иногда жалею своих слушателей. А также мне хотелось быть в более тесном общении со своей аудиторией, так как часто я совершенно не знаю, успевают ли мои слушатели следить за мной или пет, где желателен более подробный разбор и где я могу быть более кратким. А в общем я делаю доклады с большой охотой. Многое стало теперь для меня впервые ясным» [Р 1].

Далее он выражает радость по поводу обещанного приезда Софьи Васильевны в Берлин на пасхальные каникулы и просит ее прислать им то, что написали о Софье Ковалевской шведские газеты. «Мы уж поймем шведский язык»,—говорит он и добавляет: «Мы не покажем этого Кронекеру»[Р 2].

Второе письмо К. Рунге, от 11 февраля 1884 г., целиком посвящено подробному доказательству теоремы существования (тем же методом, что и в первом письме) для системы

Софья Васильевна написала Рунге 18 февраля и поставила перед ним несколько вопросов. В своем письме от 10 марта Рунге говорит о теореме существования для системы, в которой ?v (xi, х2, ..., X») аналитическая функция комплексных переменных. Заканчивает он письмо словами о том, что ему еще надо ответить ей на ряд вопросов, и в свою очередь спрашивает у нее: «Что это за теорема об истинном (wahre) радиусе сходимости дифференциального уравнения?». Его интересуют также исследования Ковалевской о потенциальных функциях [Р 3],—возможно, что речь идет о работе [9].

Второго апреля 1884 г. Рунге отвечает на некоторые математические вопросы Ковалевской и выражает сожаление; «Как сложно переписываться! Какая печальная

251

замена личной беседы!» Он сообщает некоторые берлинские новости: летом он читает аналитическую механику четыре раза в неделю и одночасовой специальный курс (privatissimum) об алгебраическом решении уравнений. Кёниг- сбергер приглашен в Гейдельберг и скоро покинет Вену, Фукс вернется раньше или позже, в зависимости от того, когда появится Кёнигсбергер. Рунге хотелось бы приехать в Стокгольм, но сейчас он не может этого сделать. В конце Рунге восклицает: «Если бы я только мог прочесть то, что Вы в Вашем письме так тщательно зачеркнули! Я вижу вопросительный знак и меня мучает невозможность на него ответить» [Р 4].

Летом 1884 г. Ковалевская была в Берлине. В записке от 8 июля 1884 г., приложенной к рукописи его статьи, Рунге говорит, что дружелюбные замечания Софьи Васильевны побудили его записать свои исследования по однозначным функциям. Он посылает их на ее суд, просит прочесть и вычеркнуть все непонятное или неясное. Записку он пишет потому, что не думает застать Ковалевскую дома. Завтра он рассчитывает встретиться с нею.

Записка от 14 июня сопровождает и другую статью Рунге. В ней он высказывает соображение по поводу одного пункта предыдущих исследований и заканчивает ее словами: «Завтра я ничего другого делать не буду, как только плавать, грести и играть в теннис. И этого хочет приват-доцент математики!» [Р6].

Поделиться:
Популярные книги

Газлайтер. Том 23

Володин Григорий Григорьевич
23. История Телепата
Фантастика:
боевая фантастика
попаданцы
аниме
5.00
рейтинг книги
Газлайтер. Том 23

Кодекс Охотника. Книга XXXIX

Сапфир Олег
39. Кодекс Охотника
Фантастика:
фэнтези
попаданцы
боевая фантастика
5.00
рейтинг книги
Кодекс Охотника. Книга XXXIX

Золото Советского Союза: назад в 1975

Майоров Сергей
Фантастика:
попаданцы
альтернативная история
5.25
рейтинг книги
Золото Советского Союза: назад в 1975

Двойник короля 13

Скабер Артемий
13. Двойник Короля
Фантастика:
аниме
фэнтези
попаданцы
5.00
рейтинг книги
Двойник короля 13

Великий род

Сай Ярослав
3. Медорфенов
Фантастика:
юмористическое фэнтези
попаданцы
аниме
5.00
рейтинг книги
Великий род

Аристократ из прошлого тысячелетия

Еслер Андрей
3. Соприкосновение миров
Фантастика:
фэнтези
попаданцы
аниме
5.00
рейтинг книги
Аристократ из прошлого тысячелетия

Вперед в прошлое 12

Ратманов Денис
12. Вперед в прошлое
Фантастика:
попаданцы
5.00
рейтинг книги
Вперед в прошлое 12

Старый, но крепкий 2

Крынов Макс
2. Культивация без насилия
Фантастика:
рпг
уся
эпическая фантастика
5.00
рейтинг книги
Старый, но крепкий 2

Дитя прибоя

Трофимов Ерофей
Дитя прибоя
Фантастика:
боевая фантастика
попаданцы
фэнтези
5.00
рейтинг книги
Дитя прибоя

Печать Пожирателя 3

Соломенный Илья
3. Пожиратель
Фантастика:
городское фэнтези
аниме
сказочная фантастика
фэнтези
попаданцы
5.00
рейтинг книги
Печать Пожирателя 3

Кодекс Охотника. Книга III

Винокуров Юрий
3. Кодекс Охотника
Фантастика:
фэнтези
попаданцы
аниме
7.00
рейтинг книги
Кодекс Охотника. Книга III

Пипец Котенку! 2

Майерс Александр
2. РОС: Пипец Котенку!
Фантастика:
юмористическое фэнтези
попаданцы
аниме
5.00
рейтинг книги
Пипец Котенку! 2

На границе империй. Том 5

INDIGO
5. Фортуна дама переменчивая
Фантастика:
боевая фантастика
попаданцы
7.50
рейтинг книги
На границе империй. Том 5

Барон ненавидит правила

Ренгач Евгений
8. Закон сильного
Фантастика:
попаданцы
аниме
фэнтези
5.00
рейтинг книги
Барон ненавидит правила