Чтение онлайн

на главную - закладки

Жанры

Шрифт:

Глава VIII

С. В. Ковалевская и математики ее времени

Русские математики

Во второй половине XIX в. во главе математиков в России стоял П. Л. Чебышев, в Германии —К. Вейер- штрасс, во Франции — Ш. Эрмит. С каждым из них в разное время у С. В. Ковалевской установились научные контакты и близкие дружеские отношения.

Чебышев и Эрмит были почти ровесниками. Вейер- штрасс был старше, но, как мы видели, он поздно вы-

224

)

шел на официальную научную арену, оставаясь до сорокалетнего возраста школьным учителем в провинциальном городке.

Чебышев обладал проницательным и острым умом, его работы отличались богатством новых идей. Известны его исследования по интегрированию иррациональных дифференциалов, по теории наилучших приближений, по теории вероятностей, по алгебре, теории чисел и другим задачам математики и механики. Для нас, в связи с

С. В. Ковалевской, особый интерес будут представлять две первые задачи.

В конце 50-х гг. установилось научное общение между тремя великими математиками благодаря исследованиям П. Л. Чебышева по интегрированию иррациональных дифференциалов, в частности дифференциалов вида

Чебышев разработал изящные приемы преобразований, позволяющих выяснить, когда интеграл будет выражаться в элементарных функциях, включая логарифмы алгебраических функций. При этом его специально интересовал случай, когда коэффициенты Р(х) — рациональные числа [220]. Ученик П. Л. Чебышева Е. И. Золотарев [221] обобщил задачу и дал строгие доказательства, применяя теорию эллиптических функций [224].

Одна из статей Чебышева появилась в 1853 г. в журнале Лиувилля [223] и нашла отклик у Вейерштрасса, который опубликовал в 1857 г. свой метод решения задачи с полной ссылкой на Чебышева [224]. Французский математик Э. Руше также занялся исследованиями на эту же тему [225]. Ш. Эрмит живо откликнулся на работы самого Чебышева и последующих авторов, в том числе Руше, и 27 июня 1858 г. послал Чебышеву письмо, в котором отмечал, что Руше недостаточно подчеркнул значение работ Чебышева: «...эта теория принадлежит Вам в гораздо большей степени, чем это признает г. Руше» [220, т. V, с. 427].

Начав переписку с Чебышевым, Эрмит вел ее до последних лет жизни великого русского ученого. Известны десять писем Эрмита Чебышеву [220]. В одном из первых писем он сообщает об исследовании задачи Чебышева, предпринятом Вейерштрассом [226], и советует Чебыше¬

225

ву обратиться к более общим методам, основанным на применении эллиптических функций. Но Чебышев не мог принять этого совета, он оставался на «алгебраическом» методе, предоставляя другим, в первую очередь своему ученику Золотареву, расширение самой задачи и методов ее решения.

Когда Вейерштрасс начал заниматься с С. В. Ковалевской, то одна из трех задач, предложенных им своей ученице, была: приведение некоторых абелевых интегралов третьего ранга к эллиптическим интегралам [2, 15].

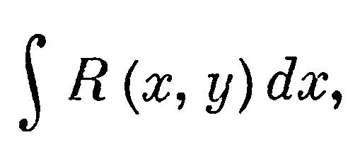
Абелевым интегралом называется интеграл вида

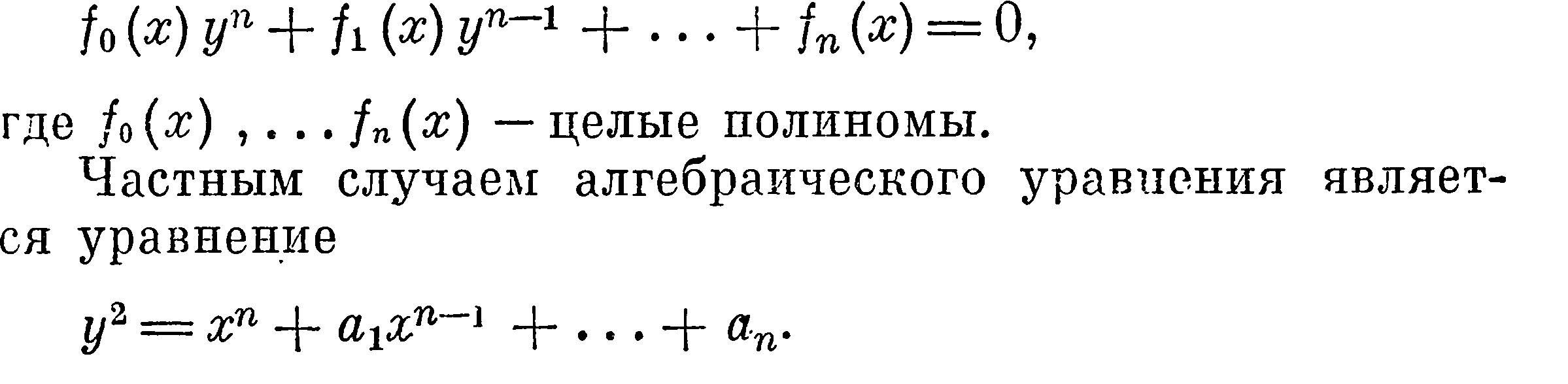
где Rрациональная функция своих аргументов, а у удовлетворяет алгебраическому уравнению

Соответствующий интеграл называется интегралом третьего ранга (или жанра), если п=7 или 8.

Аналогичную задачу для абелева интеграла второго ранга по предложению Вейерштрасса рассмотрел Кёнигс- бергер (при этом п=5 или 6) [148]. В задаче Чебышева рассматривался абелев интеграл первого ранга.

Осенью 1874 г., по возвращении в Россию, Ковалевская, как мы уже говорили, была в гостях у Д. И. Менделеева. На этом вечере были П. Л. Чебышев и А. В. Га- долин, кристаллограф и артиллерист, с которыми Ковалевская спорила до часу ночи. Нужно полагать, что споры с Чебышевым были связаны именно с подходом к задаче об интегрировании абелевых интегралов: «алгебраическим» (по Чебышеву), приводящим через конечное число шагов к цели, или «трансцендентным» (по Вей- ерштрассу), выясняющим общие свойства интегралов данного ранга.

В одном из своих писем (не сохранившемся, так как Вейерштрасс, как известно, сжег ее письма) Ковалевская рассказала о спорах с Чебышевым, и учитель отвечал ей 12 января 1875 г.: «Ты Чебышев любит предлагать Тебе вопросы, касающиеся интегрирования эллиптических дифференциалов с помощью логарифмов. Это побуждает меня взяться снова за мою прежнюю работу по этому предмету» [125, с. 204]. Дальше Вейерштрасс изложил подробно свои соображения, так что получилась «почти небольшая статья».

Таким образом, Ковалевская, не будучи ученицей Чебышева, близко соприкоснулась с его исследованиями. И когда в 1879 г. он предложил ей сделать доклад на VI съезде русских естествоиспытателей и врачей, то Ковалевская выбрала именно тему о приведении абелевых интегралов, в то время как могла бы взять один из двух других вопросов, которые составили ее докторскую диссертацию.

Вероятно, все эти обсуждения задачи о приведении абелевых интегралов побудили Ковалевскую в своей работе, опубликованной только в 1884 г., написать следующие строки: «В заключение замечу, что целью моей работы меньше был вывод полученных результатов, так как их, если только они найдены, можно изложить гораздо короче чисто алгебраически; в основном нужно было дать пример применения теорий моего уважаемого учителя, изложенных во введении, что он сам побудил меня осуществить, и полностью исследовать случай, когда р=3, к=2» [2] (здесь р — ранг интеграла, к — степень некоторой вспомогательной подстановки).

Другая область исследований Чебышева, которая особенно интересовала Ковалевскую,— это задачи о наилучшем приближении одних функций другими, более простыми [220]. Замечательные результаты русского ученого о функциях, наименее уклоняющихся от заданной функции, сразу привлекли внимание и за границей. Тот факт, что полиномы, наименее уклоняющиеся от нуля, могут быть представлены через тригонометрические функции в виде cos (п arccos х), вызвал такое восхищение, что Ж. Бертран включил его в свой курс анализа [227]. Преподаватели средней школы пытались элементарным путем рассматривать полиномы Чебышева (по крайней мере второй, третьей и четвертой степеней) [122]. Е. И. Золотарев занялся отысканием полинома

, если задан его коэффициент pi=o, и нашел его выражение через эллиптические функции [228—230].

Поделиться:
Популярные книги

Убивать чтобы жить 5

Бор Жорж
5. УЧЖ
Фантастика:
боевая фантастика
космическая фантастика
рпг
5.00
рейтинг книги
Убивать чтобы жить 5

Вперед в прошлое 3

Ратманов Денис
3. Вперёд в прошлое
Фантастика:
попаданцы
альтернативная история
5.00
рейтинг книги
Вперед в прошлое 3

Последний Паладин. Том 13

Саваровский Роман
13. Путь Паладина
Фантастика:
городское фэнтези
попаданцы
аниме
5.00
рейтинг книги
Последний Паладин. Том 13

Локки 10. Потомок бога

Решетов Евгений Валерьевич
10. Локки
Фантастика:
фэнтези
юмористическое фэнтези
героическая фантастика
боевая фантастика
5.00
рейтинг книги
Локки 10. Потомок бога

Газлайтер. Том 6

Володин Григорий
6. История Телепата
Фантастика:
попаданцы
альтернативная история
аниме
5.00
рейтинг книги
Газлайтер. Том 6

Ключи мира

Кас Маркус
9. Артефактор
Фантастика:
городское фэнтези
аниме
фэнтези
5.00
рейтинг книги
Ключи мира

Последний Паладин. Том 11

Саваровский Роман
11. Путь Паладина
Фантастика:
попаданцы
аниме
фэнтези
5.00
рейтинг книги
Последний Паладин. Том 11

Тринадцатый X

NikL
10. Видящий смерть
Фантастика:
попаданцы
аниме
фэнтези
5.00
рейтинг книги
Тринадцатый X

Ярар. Начало

Грехов Тимофей
1. Ярар
Фантастика:
фэнтези
попаданцы
5.00
рейтинг книги
Ярар. Начало

Звездная Кровь. Экзарх II

Рокотов Алексей
2. Экзарх
Старинная литература:
прочая старинная литература
5.00
рейтинг книги
Звездная Кровь. Экзарх II

Камень. Книга 3

Минин Станислав
3. Камень
Фантастика:
фэнтези
боевая фантастика
8.58
рейтинг книги
Камень. Книга 3

Горизонт Вечности

Вайс Александр
11. Фронтир
Фантастика:
боевая фантастика
космическая фантастика
космоопера
5.00
рейтинг книги
Горизонт Вечности

Долг

Кораблев Родион
7. Другая сторона
Фантастика:
боевая фантастика
5.56
рейтинг книги
Долг

Черный Маг Императора 13

Герда Александр
13. Черный маг императора
Фантастика:
попаданцы
аниме
сказочная фантастика
фэнтези
5.00
рейтинг книги
Черный Маг Императора 13