Чтение онлайн

на главную - закладки

Жанры

Шрифт:

Упругая жесткость волоска, выражается формулой:

M= Ebh3/12L,

где: L— длина волоска;

b— его ширина;

h— толщина;

Е— модуль упругости материала волоска.

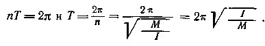
Подставляя в формулу периода колебаний значение М, полу­чим

т. е. период колебания баланса прямо пропорционален квадрат­ному корню из момента инерции баланса и длины волоска и об­ратно пропорционален квадратному корню из модуля упругости материала волоска, ширины волоска и его толщины, взятой в кубе. Момент инерции баланса в свою очередь равен

тогда

Но так как масса т = — , где Р = вес баланса, a g— ускорение силы тяжести, то

Приведенная формула несколько упрощена и неполно харак­теризует работу реального часового механизма, в частности не от­ражает зависимости периода колебаний от амплитуды.

Баланс, кинематически и динамически связанный с реальным часовым механизмом и обладающий неуравновешенностью, колеб­лется с погрешностью, отмечаемой как нарушение хода часов, за­висящее от положения центра тяжести баланса и от величины ам­плитуды его колебаний.

Спусковой регулятор колебательной системы, работающий сов­местно с механизмом часов, как правило, дает период колебания, зависящий от амплитуды, т. е. колебания системы не изохронны.

Профессором Ф. В. Дроздовым установлено, что чем больше кинетическая энергия колеблющейся системы и амплитуда колеба­ний баланса, тем меньше суточная ошибка хода, даваемая спуско­вым регулятором.

В процессе работы часового механизма колебательная система совершает незатухающие колебания с относительно постоянной частотой. Амплитуда колебаний поддерживается за счет расхода потенциальной (запасенной в двигателе) энергии, например, энер­гия заведенной пружины или поднятой гири. При этом энергия сообщается колебательной системе периодически, определенными по величине импульсами. Периодичность подачи энергии на ко­лебательную систему зависит от частоты колебаний баланса или маятника и от конструкции спускового механизма. Обычно в бы­товых часах применяются спусковые механизмы, посредством ко­торых передача энергии от двигателя производится дважды за пе­риод колебания баланса или маятника. За время передачи энер­гии колеблющийся баланс или маятник поворачивается на определенный угол, что сопровождается также поворотом всех колес зубчатой передачи на определенные углы. В это время постепенно раскручивается пружина или опускается гиря, а стрелки движутся по циферблату. Таким образом, колебания баланса или маятника поддерживаются за счет расхода энергии двигателя, создающего постоянную по направлению движущую силу, а процессом пере­дачи энергии от двигателя к колебательной системе управляет сама колебательная система посредством спускового механизма. Системы, в которых незатухающие колебания поддерживаются за счет источника энергии, создающего движущую силу постоянного направления, называются автоколебательными системами.

Часы являются наиболее типичным механизмом автоколеба­тельных систем, и это обстоятельство позволяет вскрыть основные закономерности их действия. Так, например, при установившейся в часах амплитуде колебаний энергия, сообщаемая колебательной системе за каждый импульс, равна потерям энергии за время между импульсами. При увеличении энергии импульса увеличи­вается амплитуда колебаний, уменьшение энергии импульса при­водит к уменьшению амплитуды колебаний. По мере спуска завод­ной пружины крутящий момент, сообщаемый ею колесной системе, убывает. Следовательно, количество энергии, сообщаемой при каждом импульсе балансу или маятнику часов, убывает. Соответ­ственно убывает и амплитуда колебаний.

Изменение потерь энергии в колебательной системе, происхо­дящее от увеличения трения в подшипниках баланса (загустение масла, износ подшипников), приводит также к изменению ампли­туды колебаний, а следовательно, и периода. Изменение периода колебаний непосредственно связано с ходом часов: с уменьшением периода колебаний баланса или маятника часы ускоряют ход (спешат); при увеличении периода часы замедляют ход (начи­нают отставать).

Часовым мастерам, желающим более подробно ознакомиться с вопросами теории, расчета и устройства часов, можно рекомен­довать книгу И. С. Белякова «Часовые механизмы», Машгиз, 1957.

ГЛАВА II

КОНСТРУКЦИЯ НАРУЧНЫХ И КАРМАННЫХ ЧАСОВ

1. ПРИНЦИПИАЛЬНАЯ КОНСТРУКТИВНАЯ СХЕМА ЧАСОВ

Рис. 1. Механизм часов с анкерным ходом (вид сверху):

1 — центральное колесо; 2 —триб центрального колеса; 3 —баланс разрезной (компен­сационный); 4— колодка волоска и ось баланса; 5 — колонка волоска; 6— волосок; 7 — винты баланса (грузики); S — анкерная вилка с палатами и осью; 9 — ходовое колесо; 10 —триб ходового колеса; 11 — секундное колесо; 12 —триб секундного колеса; 13— промежуточное колесо; 14— триб промежуточного колеса; 15— барабан; 16 —заводная пружина; 17 —собачка; 18— винт собачки; 19— барабанное колесо; 20 —винт барабанного колеса; 21 —заводное (коронное) колесо; 22 —винт заводного колеса

Для более детального ознакомления с названиями и назна­чением отдельных конструктивных элементов часов на рис. 1 приведена развернутая схема механизма часов с анкерным ходом. Заводная пружина 16,находящаяся в барабане 15,раскручиваясь передает через зубья барабана,движение на триб 2центрального колеса, сидящий на одной оси с центральным колесом 1,ведущим триб промежуточного колеса 14.Промежуточное колесо 13через триб 12передает движение на секундное колесо 11, которое в свою очередь вращает триб ходового колеса 10и находящееся с ним на одной оси ходовое колесо 9.Зубья этого колеса кинематически соединяются с налетами анкерной вилки 8.Анкерная вилка, колеб­лясь, сообщает импульсы балансу 3.

Рис. 2. Колебательная система:

] — баланс с винтами-грузиками; 2 —ось баланса с цапфами; 3— волосок; 4 —двойной ролик; 5 —эллипс; 6— колодка волоска; 7 — штифт колодки волоска; 8— колонка волоска

Часовой механизм состоит из следующих основных узлов:

1) колебательная система (рис. 2) — баланс с осью и спи­ралью, двойной ролик с эллипсом:

2) спусковой механизм или спуск (рис. 3) — анкерная вилка с налетами и анкерное колесо;

3) зубчатая передача (рис. 4);

4) двигатель часового механизма (рис. 5);

5) узел завода и перевода стрелок.

Рис. 3. Спусковой механизм: 1 —анкерная вилка с налетами; 2 —анкерное колесо

Рис. 4. Зубчатая передача:

I. Центральное колесо: 1 — триб; 2— цапфа; 3— ось, на которую насаживается

минутный триб;

П. Промежуточное колесо: 1 — триб с осью; 2 — цапфа; III. Секундное колесо: 1 — триб с осью; 2 —цапфы

Рис. 5. Двигатель часового механизма в собранном виде:

Поделиться:
Популярные книги

Проводник

Кораблев Родион
2. Другая сторона
Фантастика:
боевая фантастика
рпг
7.41
рейтинг книги
Проводник

Запрети любить

Джейн Анна
1. Навсегда в моем сердце
Любовные романы:
современные любовные романы
5.00
рейтинг книги
Запрети любить

Серпентарий

Мадир Ирена
Young Adult. Темный мир Шарана. Вселенная Ирены Мадир
Фантастика:
фэнтези
готический роман
5.00
рейтинг книги
Серпентарий

Точка Бифуркации XII

Смит Дейлор
12. ТБ
Фантастика:
аниме
фэнтези
попаданцы
5.00
рейтинг книги
Точка Бифуркации XII

Личный аптекарь императора. Том 5

Карелин Сергей Витальевич
5. Личный аптекарь императора
Фантастика:
городское фэнтези
попаданцы
аниме
сказочная фантастика
фэнтези
7.50
рейтинг книги
Личный аптекарь императора. Том 5

Мастер 6

Чащин Валерий
6. Мастер
Фантастика:
боевая фантастика
попаданцы
аниме
5.00
рейтинг книги
Мастер 6

Последний Герой. Том 4

Дамиров Рафаэль
Последний герой
Фантастика:
попаданцы
альтернативная история
5.00
рейтинг книги
Последний Герой. Том 4

Сирийский рубеж 2

Дорин Михаил
6. Рубеж
Фантастика:
попаданцы
альтернативная история
5.00
рейтинг книги
Сирийский рубеж 2

Точка Бифуркации X

Смит Дейлор
10. ТБ
Фантастика:
аниме
фэнтези
попаданцы
5.00
рейтинг книги
Точка Бифуркации X

Двойник короля 17

Скабер Артемий
17. Двойник Короля
Фантастика:
аниме
фэнтези
попаданцы
5.00
рейтинг книги
Двойник короля 17

Черный дембель. Часть 3

Федин Андрей Анатольевич
3. Черный дембель
Фантастика:
попаданцы
альтернативная история
5.00
рейтинг книги
Черный дембель. Часть 3

Гримуар темного лорда III

Грехов Тимофей
3. Гримуар темного лорда
Фантастика:
фэнтези
попаданцы
аниме
5.00
рейтинг книги
Гримуар темного лорда III

Чужбина

Седой Василий
2. Дворянская кровь
Фантастика:
попаданцы
альтернативная история
5.00
рейтинг книги
Чужбина

Перешагнуть пропасть

Муравьёв Константин Николаевич
1. Перешагнуть пропасть
Фантастика:
боевая фантастика
космическая фантастика
8.38
рейтинг книги
Перешагнуть пропасть