Регионоведение

на главную - закладки

Жанры

Поделиться:
Шрифт:

1. Понятие курса «Регионоведение». Экономические зоны. Экономический район

Регионоведение – область научных знаний, изучающая территориальную организацию хозяйства.

Предметом регионоведения являются экономические районы всех уровней – экономические зоны, укрупненные районы, крупные экономические районы, районы среднего звена, промышленные узлы, промышленные центры, агломерации, территориально-производственные комплексы, отраслевые промышленные и агропромышленные комплексы, свободные экономические зоны.

Регионоведение изучает внутрирайонные и межрайонные экономические связи, а также ход экономических реформ в регионах в условиях становления и развития рыночных отношений. Регионоведение раскрывает понятия всех форм территориальной организации хозяйства.

Экономические зоны представляют собой группы укрупненных районов.

В настоящее время выделяются две экономические зоны – Западная и Восточная. Важнейшее значение этих зон для развития России состоит в рационализации хозяйственных пропорций. Роль Западной зоны возрастает преимущественно в развитии машиностроения, сложных, высококвалифицированных отраслей промышленности, обеспечивающих научно-технический прогресс. Восточная зона – основная ресурсно-энергетическая база страны, и в перспективе сохранится приоритет за топливно-энергетическим комплексом, разработкой лесных ресурсов, энерго– и водоемкими отраслями промышленности.

Крупный экономический район – это целостная территориальная часть народного хозяйства страны, имеющая свою производственную (рыночную) специализацию и прочные внутренние экономические связи. Крупный экономический район неразрывно связан с другими частями страны общественным разделением труда. В каждом крупном экономическом районе выделяются три группы взаимосвязанных друг с другом отраслей – отрасли рыночной специализации, отрасли, дополняющие территориальный комплекс, и отрасли инфраструктуры. В настоящее время функционирует 11 крупных экономических районов – Северный, Северо-Западный, Центральный, Центрально-Черноземный, Волго-Вятский, Поволжский, Северо-Кавказский, Уральский, Западно-Сибирский, Восточно-Сибирский и Дальневосточный.

Крупные экономические районы подразделяются на районы среднего звена, или мезорайоны. К ним относятся республики, края и области, входящие в состав России.

Задачей курса «Регионоведение» является изучение природно-ресурсного потенциала экономических районов всех рангов, проблем населения и трудовых ресурсов каждого района, региональных экологических проблем. Регионоведение изучает отраслевую и территориальную структуру хозяйственных комплексов районов России, основные формы территориальной организации хозяйства, внутрирайонные и межрайонные экономические связи, а также ход экономических реформ в регионах в условиях становления и развития рыночных отношений.

2. Методология, научные методы дисциплины «Регионоведение»

Методологической базой регионоведения являются современные научные теории экономического районирования, результаты исследования структуры региональных комплексов, целевые федеральные программы развития регионов России, теоретические аспекты формирования территориально-производственных и отраслевых комплексов, закономерности и принципы размещения производительных сил отраслей хозяйства и экономических районов, положения региональной политики и стратегии.

В своих исследованиях регионоведение использует различные методы – балансовый, индексный, экономико-статистический, историко-сравнительный, картографический, методы экономико-математического моделирования при выборе оптимальных вариантов размещения производств в регионах, метод системного анализа и др.

Все методы исследования и показатели территориальных программ и прогнозов имеют целью выявить резервы роста производства в экономических районах, пропорциональность, эффективность и динамичность их развития.

Так, балансовый метод позволяет выбрать оптимальное соотношение между отраслями рыночной специализации, отраслями, дополняющими территориальный комплекс, т. е. обеспечивающими как потребности ведущих отраслей, так и нужды населения, и отраслями сферы услуг.

Балансы необходимы также для разработки рациональных межрегиональных и внутрирегиональных связей. Экономические обоснования размещения предприятий: выбор региона и места для сооружения предприятия, расчеты обеспеченности его сырьем, топливом, энергией, водой, трудовыми и другими ресурсами – все это составляет содержание балансового метода.

Составление отраслевых и региональных балансов позволяет установить уровень комплексного развития региона, выявить наличие в его развитии диспропорций.

Специфическим методом исследования регионоведения является картографический метод.

Карта является источником знаний, источником обогащения информацией размещения производительных сил в каждом районе. Она позволяет наглядно представить особенности размещения. Благодаря картам, картосхемам, картограммам, картодиаграммам лучше воспринимаются и запоминаются не только особенности размещения, но и количественные показатели, характеризующие уровни развития районов. Карта является как бы образной моделью территории, на которой при помощи условных знаков отображаются объекты, явления в их взаимосвязи.

В региональных исследованиях широко применяется индексный метод. Для количественного определения уровня специализации экономического районирования используются коэффициент локализации, коэффициент душевого производства и коэффициент межрайонной товарности.

3. Коэффициент локализации, коэффициент производства продукции района на душу населения, коэффициент межрайонной товарности

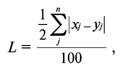
Коэффициент локализации данного производства (L) представляет собой отношение удельного веса данной отрасли в структуре производства к удельному весу той же отрасли в стране.

Его расчет производится по валовой товарной продукции, основным промышленным фондам и численности промышленно-производственного персонала.

где хj – доля j-гo региона в общем объеме факторного признака;

уj – доля j-гo региона в общем объеме результативного явления (в данном случае товарооборота);

n – число j-х регионов.

Коэффициент душевого производства исчисляется как отношение удельного веса отрасли хозяйства региона в соответствующей структуре отрасли страны к удельному весу населения региона в населении страны.

Книги из серии:

Шпаргалки

Комментарии:
Популярные книги

#НенавистьЛюбовь

Джейн Анна
Любовные романы:
современные любовные романы
6.33
рейтинг книги
#НенавистьЛюбовь

Московское золото и нежная попа комсомолки. Часть Четвертая

Хренов Алексей
4. Летчик Леха
Фантастика:
попаданцы
альтернативная история
5.00
рейтинг книги
Московское золото и нежная попа комсомолки. Часть Четвертая

Имперец. Том 5

Романов Михаил Яковлевич
4. Имперец
Фантастика:
попаданцы
альтернативная история
аниме
6.00
рейтинг книги
Имперец. Том 5

Идеальный мир для Лекаря 27

Сапфир Олег
27. Лекарь
Фантастика:
аниме
фэнтези
5.00
рейтинг книги
Идеальный мир для Лекаря 27

Последний Герой. Том 2

Дамиров Рафаэль
2. Последний герой
Фантастика:
попаданцы
альтернативная история
4.50
рейтинг книги
Последний Герой. Том 2

Двойник короля 13

Скабер Артемий
13. Двойник Короля
Фантастика:
аниме
фэнтези
попаданцы
5.00
рейтинг книги
Двойник короля 13

Вечный. Книга I

Рокотов Алексей
1. Вечный
Фантастика:
боевая фантастика
попаданцы
рпг
5.00
рейтинг книги
Вечный. Книга I

Старый, но крепкий 4

Крынов Макс
4. Культивация без насилия
Фантастика:
уся
фэнтези
5.00
рейтинг книги
Старый, но крепкий 4

Зодчий. Книга III

Погуляй Юрий Александрович
3. Зодчий Империи
Фантастика:
аниме
фэнтези
попаданцы
5.00
рейтинг книги
Зодчий. Книга III

Бастард Императора. Том 2

Орлов Андрей Юрьевич
2. Бастард Императора
Фантастика:
фэнтези
попаданцы
аниме
5.00
рейтинг книги
Бастард Императора. Том 2

Барон переписывает правила

Ренгач Евгений
10. Закон сильного
Фантастика:
попаданцы
аниме
фэнтези
5.00
рейтинг книги
Барон переписывает правила

Идеальный мир для Лекаря 22

Сапфир Олег
22. Лекарь
Фантастика:
юмористическое фэнтези
аниме
фэнтези
5.00
рейтинг книги
Идеальный мир для Лекаря 22

Кодекс Охотника. Книга ХХ

Винокуров Юрий
20. Кодекс Охотника
Фантастика:
попаданцы
альтернативная история
аниме
5.00
рейтинг книги
Кодекс Охотника. Книга ХХ

Чужак из ниоткуда 4

Евтушенко Алексей Анатольевич
4. Чужак из ниоткуда
Фантастика:
попаданцы
альтернативная история
5.00
рейтинг книги
Чужак из ниоткуда 4