Чтение онлайн

на главную - закладки

Жанры

Радио?.. Это очень просто!
Шрифт:

Но где взять искажения, идентичные искажениям, вносимым усилителем?

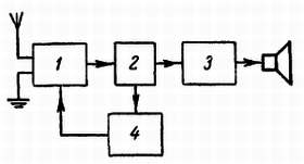
Наиболее простой и надежный способ заключается в том, чтобы снять их с выхода самого усилителя и подать на вход в противоположной полярности к напряжению, которое их вызывает в процессе усиления. Вот мы и пришли к принципу отрицательной обратной связи.

Идеальным решением было бы снимать с выхода только напряжение, соответствующее искажениям. Но его, разумеется, невозможно выделить из всего напряжения. Поэтому с выхода снимается некоторая часть и всего напряжения, которая и подается на вход усилителя в противоположной полярности с усиливаемым напряжением U (рис. 161).

Рис. 161. Принципиальная схема отрицательной обратной связи. Необходимая часть выходного напряжения снимается с потенциометра R.

Что же при этом происходит?

Имея противоположную полярность относительно входного напряжения U, напряжение и вычитается из него, в результате чего входное напряжение падает до значения Uu. Но это неважно, так как снижение может быть компенсировано соответствующим усилением в других звеньях. Важно то, что в напряжении Uu имеются искажения, которые не существовали в напряжении U и которые противоположны искажениям, возникающим в усилителе. В результате искажения на выходе значительно снижаются.

Так как входное напряжение U уменьшается до значения Uu частью выходного напряжения u, отрицательная обратная связь в известной мере снижает усиление. Ее следует применять лишь в усилителях, имеющих достаточный запас по усилению, чтобы оконечная лампа, несмотря на снижение усиления, могла отдать требуемую выходную мощность.

Отрицательная обратная связь в схеме оконечной лампы

В связи с тем, что основные искажения возникают главным образом в оконечной лампе, обратную связь часто применяют только в цепи этой лампы. Наиболее простой способ (рис. 162) заключается в соединении анода оконечной лампы Л2 с анодом лампы предваритетьного усилителя Л1 через резистор R с большим сопротивлением (1–2 Мом). Благодаря этому часть переменного напряжения первичной обмотки выходного трансформатора поступает через конденсатор С на управляющую сетку оконечной лампы.

Следует отметить, что, как и в схеме, изображенной на рис. 161, деление выходного напряжения перед подачей его на сетку лампы производится с помощью делителя, аналогичного потенциометру. На рис. 162 потенциометр образован из сопротивления резистора R (одно плечо) и трех других параллельно включенных сопротивлений (другое плечо): внутреннего сопротивления Rл лампы Л1 и сопротивлений резисторов R1 и R2(каждое из этих сопротивлений одним концом подключено к аноду лампы Л1, а другим — к плюсу или минусу источника высокого напряжения, что по переменному току эквивалентно). Так как суммарное сопротивление параллельных сопротивлений Rл, R1 и R2 мало по сравнению с сопротивлением R, на сетку лампы Л2 подается незначительная часть выходного напряжения.

Рис. 162. Отрицательная обратная связь в усилителе низкой частоты, осуществленная с помощью резистора R, включенного между анодами двух ламп.

Отрицательная обратная связь с коррекцией тембра

При желании охватить отрицательной обратной связью обе лампы усилителя низкой частоты приемника напряжение лучше снимать со вторичной обмотки выходного трансформатора, который, как мы знаем, понижает напряжение. Это напряжение подают на резистор R1 с небольшим сопротивлением (10–20 ом), включенный в цепь катода последовательно с резистором смещения первой лампы (рис. 163).

Рис. 163. Отрицательная обратная связь в усилителе низкой частоты с коррекцией тембра.

R1 — 10–20 ом; R2 — 500 ом; L1 — 25 мгн; L2 — 15 мгн.

Таким образом, в цепи отрицательной связи управляющим электродом является катод. Иногда это устройство одновременно используется для улучшения воспроизведения низших и высших звуковых частот, обычно ослабленных относительно среднего их регистра.

Чтобы лучше усилить низшие и высшие частоты, достаточно снизить напряжение отрицательной обратной связи на этих частотах. Таким образом, ослабление усиления, вносимое отрицательной обратной связью, будет менее выражено для низших и высших частот, которые в результате будут усилены больше, чем средние частоты. Такая коррекция тембра осуществляется с помощью двух небольших катушек индуктивности: L1 и L2. Первая из них включена параллельно цепи обратной связи.

Ее индуктивное сопротивление, а следовательно, и напряжение отрицательной обратной связи на резисторе R1 тем меньше, чем ниже частота. Таким образом, катушка L1 корректирует низшие звуковые частоты. Сопротивление последовательно включенной катушки L2 увеличивается с частотой. В результате напряжение высоких частот на резисторе R1 падает а отрицательная обратная связь меньше влияет на их усиление.

Такой метод коррекции тембра представляется соблазнительным благодаря относительной простоте, но его можно рекомендовать лишь с большими оговорками. Снижая величину отрицательной обратной связи на некоторых частотах, не следует забывать, что основная цепь отрицательной обратной связи заключается в уменьшении искажений. Поэтому частоты, менее ослабленные отрицательной обратной связью, будут больше искажены. И если это не имеет большого значения для высших частот (гармоники которых имеют достаточно высокую частоту, чтобы не вносить заметных на слух искажений), то для низших частот это может оказаться весьма неприятным.

И так как существуют другие методы коррекции тембра, не связанные с цепью отрицательной обратной связи, лучше пользоваться ими, чем рисковать вводить неприятные искажения в процессе устранения других…иногда менее значительных.

Комментарии к двадцать третьей беседе

Антенна

В этой, последней, беседе Любознайкин и Незнайкин дружными усилиями составили схему приемника, хорошо продуманного во всех деталях. Однако они обошли молчанием проблему антенного устройства

Поделиться:
Популярные книги

Неудержимый. Книга XXI

Боярский Андрей
21. Неудержимый
Фантастика:
попаданцы
аниме
фэнтези
5.00
рейтинг книги
Неудержимый. Книга XXI

Шайтан Иван 6

Тен Эдуард
6. Шайтан Иван
Фантастика:
попаданцы
альтернативная история
историческое фэнтези
7.00
рейтинг книги
Шайтан Иван 6

Кай из рода красных драконов 3

Бэд Кристиан
3. Красная кость
Фантастика:
попаданцы
альтернативная история
5.00
рейтинг книги
Кай из рода красных драконов 3

Барону наплевать на правила

Ренгач Евгений
7. Закон сильного
Фантастика:
боевая фантастика
попаданцы
аниме
5.00
рейтинг книги
Барону наплевать на правила

Убивать чтобы жить 2

Бор Жорж
2. УЧЖ
Фантастика:
героическая фантастика
боевая фантастика
рпг
5.00
рейтинг книги
Убивать чтобы жить 2

Мы – Гордые часть 8

Машуков Тимур
8. Стальные яйца
Фантастика:
попаданцы
аниме
фэнтези
5.00
рейтинг книги
Мы – Гордые часть 8

Лекарь Империи 6

Карелин Сергей Витальевич
6. Лекарь Империи
Фантастика:
городское фэнтези
боевая фантастика
аниме
попаданцы
5.00
рейтинг книги
Лекарь Империи 6

Одинаковые. Том 3. Индокитай

Алмазный Петр
3. Братья Горские
Фантастика:
попаданцы
альтернативная история
5.00
рейтинг книги
Одинаковые. Том 3. Индокитай

Курсант: Назад в СССР 4

Дамиров Рафаэль
4. Курсант
Фантастика:
попаданцы
альтернативная история
7.76
рейтинг книги
Курсант: Назад в СССР 4

Язычник

Мазин Александр Владимирович
5. Варяг
Приключения:
исторические приключения
8.91
рейтинг книги
Язычник

Законник Российской Империи. Том 4

Ткачев Андрей Юрьевич
4. Словом и делом
Фантастика:
городское фэнтези
альтернативная история
аниме
дорама
5.00
рейтинг книги
Законник Российской Империи. Том 4

Лекарь Империи 8

Лиманский Александр
8. Лекарь Империи
Фантастика:
попаданцы
городское фэнтези
аниме
5.00
рейтинг книги
Лекарь Империи 8

Черный Маг Императора 14

Герда Александр
14. Черный маг императора
Фантастика:
аниме
сказочная фантастика
фэнтези
фантастика: прочее
попаданцы
5.00
рейтинг книги
Черный Маг Императора 14

Барон не признает правила

Ренгач Евгений
12. Закон сильного
Фантастика:
фэнтези
попаданцы
5.00
рейтинг книги
Барон не признает правила