Чтение онлайн

на главную - закладки

Жанры

Шрифт:

Задачи анализа товарооборота:

1) изучение динамики показателя;

2) анализ и оценка ассортиментной структуры;

3) определение и оценка факторов, влияющих на объем и структуру товарооборота;

4) анализ товарооборачиваемости.

Методы анализа:

1) построение динамических рядов;

2) использование относительных и средних величин;

3) сравнение;

4) индексный метод;

5) построение трендовых и регрессионных моделей динамики;

6) цепная подстановка;

7) балансовая увязка показателей;

8) построение графиков и др.

Анализ товарооборота начинают с установления его объема (в стоимостном выражении или в натуральных показателях) за определенный период времени. Полученные сведения (отчетные) сопоставляют с плановыми показателями и с показателями (базисными) соответствующих предшествующих временных интервалов (декада, месяц, квартал, полугодие, год). Такое сравнение позволяет оценить уровень соответствия фактических результатов деятельности фирмы намеченной стратегии развития.

В процессе анализа динамики товарооборота используют систему индексов:

1) индекс физического объема товарооборота (Iф);

2) индекс товарооборота в фактически действовавших (текущих) ценах (Iт);

3) индекс цен (Iц).

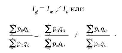
Индекс физического объема товарооборота отражает воздействие изменения количества и структуры реализованных товаров на динамику показателя.

Индекс рассчитывают по формуле:

где р0 цена i-го товара в базисном периоде;

р1 цена i-го товара в отчетном периоде;

q0 количество i-го товара, реализованного в отчетном периоде;

q1 количество i-го товара, реализованного в базисном периоде;

i – вид товара;

п – число видов товаров.

Индекс товарооборота в фактически действовавших (текущих) ценах показывает изменение совокупной стоимости реализованных товаров за анализируемый период времени. На состояние показателя воздействуют 2 фактора: количество проданных товаров и динамика цен. Индекс рассчитывают по формуле:

Использование индекса цен в анализе товарооборота в условиях заметного воздействия инфляционных процессов на экономическую жизнь страны, определивших высокие темпы обесценивания денег и роста цен, имеет исключительное значение. Индекс цен отражает изменение совокупной стоимости определенного количества товаров в течение рассматриваемого периода. Индекс рассчитывают по формуле:

Между рассмотренными индексами существует математическая зависимость:

Проведение анализа производственно-торговой деятельности магазина осложняется в связи с недостатками в планировании, учете и отчетности. Так, нормативы товарных запасов, как правило, устанавливают в целом по предприятию без их подразделения по товарным группам. Не составляют планы по поступлению и остальному выбытию сырья и покупных продуктов. Большинство фирм и организаций вообще не составляют планы хозяйственной и другой деятельности. В отчетности отсутствуют сведения о поступлении отдельных видов сырья и покупных товаров, прочем выбытии продукции и др. В результате необходимо делать дополнительные трудоемкие расчеты, выборки и не всегда возможно целиком решить задачи, поставленные при проведении анализа хозяйственной деятельности.

Если в течение исследуемого периода изменились розничные цены и наценки, а, соответственно, и продажные цены, то анализ товарооборота и выпуска собственной продукции должен проводиться как в действующей, так и в сопоставимой оценках. Для определения товарооборота (выпуска собственной продукции) в сопоставимых ценах следует его фактический объем с периода действия новых цен продажи разделить на средний индекс цен. Розничный товарооборот является составной частью товарооборота города (района) и в существенной степени покрывает покупательные фонды населения. В результате выполнение плана и динамику их товарооборота необходимо изучать в увязке с анализом развития розничного товарооборота города и покупательской способности населения. Анализ товарооборота проводят по его общему объему и составу.

Анализ динамики товарооборота должен осуществляться не только в сопоставлении с данными прошлого года, но и за ряд лет (в действующих и сопоставимых ценах). Экономисты России, стран ближнего и дальнего зарубежья советуют изучать динамику товарооборота и других коэффициентов хозяйственной деятельности фирм не менее чем за 3 года.

Анализ товарной структуры оборота выступает дальнейшей конкретизацией анализа товарооборота торгового предприятия и его главной ступенью. Цель анализа товарной структуры оборота состоит в установлении спроса населения на определенную продукцию в отчетном периоде, исследовании изменений в схеме товарооборота относительно предшествующего периода. В процессе такого анализа ожидаемые параметры за отчетный год сопоставляются с отдельными параметрами предыдущего этапа.

Применяются абсолютные суммы оборота по отдельным товарным группам, а также значение групп товаров в общем товарообороте. Такое сравнение дает возможность установить, насколько возросла продажа населению определенных товаров, какие сдвиги произошли в структуре товарооборота за прошлый период, в какой степени увеличилась продажа наиболее ценных видов продукции и изменился их удельный вес в общем товарообороте.

Помимо этого, анализ товарной структуры оборота требует рассмотрения внутригруппового ассортимента реализованных товаров.

В различные периоды года продажа ряда изделий имеет специфику и показывает существенные колебания в реализации, определенные характером спроса и предложения этих товаров.

Воздействие на объем реализации товаров, слагаемых товарного баланса, можно рассчитать способом цепной подстановки или способом расчета разницы между фактическими и плановыми показателями либо фактическими параметрами в динамике. На объем товарооборота непосредственное воздействие оказывают также факторы, связанные с численностью сотрудников, производительностью труда, а также с применением основных средств. Аналитическая работа заканчивается выводами об итогах и перспективах увеличения общего объема и изменениях структуры продажи товаров.

Поделиться:
Популярные книги

Личный аптекарь императора. Том 3

Карелин Сергей Витальевич
3. Личный аптекарь императора
Фантастика:
городское фэнтези
попаданцы
аниме
фэнтези
5.00
рейтинг книги
Личный аптекарь императора. Том 3

На границе империй. Том 10. Часть 10

INDIGO
Вселенная EVE Online
Фантастика:
космическая фантастика
попаданцы
5.00
рейтинг книги
На границе империй. Том 10. Часть 10

Вернувшийся: Первые шаги. Том II

Vector
2. Вернувшийся
Фантастика:
боевая фантастика
космическая фантастика
рпг
5.00
рейтинг книги
Вернувшийся: Первые шаги. Том II

Глава рода

Шелег Дмитрий Витальевич
5. Живой лёд
Фантастика:
боевая фантастика
6.55
рейтинг книги
Глава рода

Мачеха Золушки - попаданка

Максонова Мария
Фантастика:
попаданцы
сказочная фантастика
фэнтези
5.00
рейтинг книги
Мачеха Золушки - попаданка

Сирийский рубеж 2

Дорин Михаил
6. Рубеж
Фантастика:
попаданцы
альтернативная история
5.00
рейтинг книги
Сирийский рубеж 2

Законник Российской Империи. Том 4

Ткачев Андрей Юрьевич
4. Словом и делом
Фантастика:
городское фэнтези
альтернативная история
аниме
дорама
5.00
рейтинг книги
Законник Российской Империи. Том 4

Старый, но крепкий 7

Крынов Макс
7. Культивация без насилия
Фантастика:
рпг
уся
фэнтези
5.00
рейтинг книги
Старый, но крепкий 7

Здравствуй, 1985-й

Иванов Дмитрий
2. Девяностые
Фантастика:
альтернативная история
5.25
рейтинг книги
Здравствуй, 1985-й

Бастард

Майерс Александр
1. Династия
Фантастика:
попаданцы
аниме
фэнтези
5.00
рейтинг книги
Бастард

Вернувшийся: Корпорация. Том III

Vector
3. Вернувшийся
Фантастика:
космическая фантастика
боевая фантастика
рпг
5.00
рейтинг книги
Вернувшийся: Корпорация. Том III

Последний Паладин. Том 2

Саваровский Роман
2. Путь Паладина
Фантастика:
фэнтези
попаданцы
аниме
5.00
рейтинг книги
Последний Паладин. Том 2

Газлайтер. Том 18

Володин Григорий Григорьевич
18. История Телепата
Фантастика:
попаданцы
аниме
фэнтези
5.00
рейтинг книги
Газлайтер. Том 18

Надуй щеки! Том 6

Вишневский Сергей Викторович
6. Чеболь за партой
Фантастика:
попаданцы
дорама
5.00
рейтинг книги
Надуй щеки! Том 6