Чтение онлайн

на главную - закладки

Жанры

Космос

Саган Карл

Шрифт:

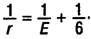
Деление обеих частей уравнения на 2Е дает:

(5)

Мы знаем, что значение л не может быть меньше 3, поскольку треугольник является простейшим многоугольником. Нам также известно, что r не может быть меньше 3, поскольку в каждой вершине многогранника сходится не меньше трех граней. Если n и r одновременно будут больше 3, то с учетом того, что они являются целыми числами, левая часть уравнения (5) окажется меньше либо равна 1/2, и ни при каком значении Е оно не будет превращаться в равенство. Таким образом, осуществив reductio ad absurdum, мы доказали, что либо n=3 и r >= 3, либо r = 3 и n >= 3.

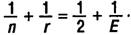
Если n = 3, уравнение (5) принимает вид

(1/3) + (1/r) = (1/2) + (1/Е) или

(6)

499

В данном случае г может принимать только значения 3, 4 и 5. (При л, равном и большем 6, уравнение не имеет решений.) Значения n = 3, r = 3 соответствуют многограннику, у которого в каждой вершине сходится по три треугольника. Согласно уравнению (6) он имеет 6 ребер; согласно уравнению (3) у него 4 грани; согласно уравнению (4) - 4 вершины. Очевидно, что это пирамида, или тетраэдр. При n = 3, r = 4 получаем восьмигранник, у которого в каждой вершине сходится по четыре треугольные грани, - октаэдр. Значения n = 3, r = 5 соответствуют икосаэдру - многограннику с двадцатью треугольными гранями, в каждой вершине которого сходится по пять треугольников.

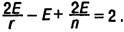
Если r = 3, уравнение (5) приобретает вид

и, повторив аналогичные рассуждения, мы получим, что л может принимать только значения 3, 4 и 5. При n = 3 вновь получается тетраэдр. Значению n = 4 соответствует многогранник, составленный из 6 квадратов, - куб, а при л = 5 результатом будет 12-гранник, состоящий из пятиугольников, - додекаэдр.

Другие сочетания целых чисел не подходят в качестве значений л и л, а значит, существует только 5 правильных многогранников*. Этот вывод, полученный в результате красивых абстрактных математических рассуждений, оказал, как вы уже знаете, весьма глубокое воздействие на практические дела людей.

* Приведенные рассуждения доказывают лишь то, что правильных многогранников может быть не больше пяти. Из них еще не следует, что хоть один из многогранников, соответствующих допустимым значениям n и r, существует. То, что для всех пар n и r действительно можно построить правильный многогранник, - замечательный факт. Ведь вполне могло бы оказаться, что при каком-нибудь из сочетаний n и r грани не сходятся друг с другом. На этом факте обычно не акцентируют внимание, так как многогранники были известны с глубокой древности и никто не сомневался в их существовании.
Пер.

 

КОММЕНТАРИИ К ЦВЕТНЫМ ИЛЛЮСТРАЦИЯМ

Форзац: Небольшое скопление галактик, включающее в себя крупную спиральную и эллиптическую галактики. Художник А. Шеллер

Заняв наблюдательный пост в межгалактическом пространстве, мы увидели бы россыпь бесчисленных слабых волокон света, напоминающих морскую пену на волнах Космоса. Это галактики. Некоторые из них одинокие странники, но большинство обретается в составе общин — звездных скоплений и, сбившись в кучу, бесконечно дрейфует среди величественной темноты Космоса. Перед нами Космос в самом крупном из известных масштабов. <...> Любая галактика состоит из газа, пыли и звезд — миллиардов и миллиардов звезд. И каждая звезда может быть чьим-то солнцем. Внутри галактики есть звезды, и миры, и, возможно, жизнь, разумные существа, космические цивилизации. Но издали галактики напоминают мне коллекцию любовно подобранных вещиц ракушек, а может быть, кораллов, творений, над которыми Природа трудилась в космическом океане целые эоны. (с. 28-29)

Оборот форзаца: Фотография кометы Веста, сделанная М. Гросманом в феврале 1976 г. в Западной Германии. Огромный хвост кометы направлен в сторону от Солнца, которое уже скрылось за горизонтом. Он образован частицами, которые выбрасываются ядром кометы и увлекаются потоком быстрых протонов и электронов солнечного ветра.

501

Дальнейшие подступы к Солнцу заполнены гигантскими снежками из льда, камня и органических молекул, которые составляют огромный сферический рой. Это кометные ядра. Время от времени проходящая невдалеке звезда едва заметным гравитационным воздействием мягко направляет одно из них во внутренние области Солнечной системы. Там Солнце нагревает ядро, и лед испаряется, образуя красивый кометный хвост. (с. 32-33)

Кометы всегда были источниками страха и суеверного трепета. Их неожиданное появление бросало вызов представлению о неизменном и божественно упорядоченном Космосе. Казалось невероятным, что приковывающая к себе взгляд полоса молочно-белого пламени, которая каждую ночь восходит и заходит вместе со звездами, появилась безо всякой на то причины и не является каким-либо предзнаменованием. Так возникла идея, будто кометы — это предвестницы катастроф, знаки божественного гнева, что они предсказывают смерть правителей и гибель царств. (с. 129)

Нахзац: Шаровое звездное скопление, обращающееся вокруг центра галактики. Художник А. Норсиа

Перед самым началом Первой мировой войны Харлоу Шепли из Миссури разработал технику измерения расстояний до шаровых звездных скоплений — восхитительных сферически симметричных «звездных куч», напоминающих пчелиный рой. Шепли нашел своего рода стандартную звездную свечу — тип звезд, которые хорошо заметны благодаря своей переменности и вместе с тем всегда имеют одну и ту же собственную светимость. Сравнивая видимый блеск таких звезд, обнаруженных в шаровых скоплениях, с их реальной светимостью, определенной по ближайшим к нам светилам этого класса, Шепли смог вычислить, насколько далеко находятся скопления. <...> Возможно, на планете, обращающейся вокруг звезды в ядре Галактики или в центре одного из исследованных Шепли шаровых скоплений, обитают живые существа. Они могут лишь пожалеть

502

нас, которым дано созерцать невооруженным глазом скромную пригоршню светил, тогда как их небеса буквально сияют звездами. Вблизи центра Млечного Пути нашему взгляду открылись бы не тысячи, а миллионы ярких небесных огней. Даже с заходом Солнца (или нескольких солнц) не наступала бы ночная тьма. (с. 288-289)

 

Ил. 1. За темной пылевой завесой туманности Ориона разливается яркий свет горячих молодых звезд.

Художник Дж. Оллисон

Контур незодиакального созвездия Ориона, небесного охотника, образуют четыре яркие звезды. Почти пополам его делит диагональная линия из трех звезд, называемая поясом Ориона. Три менее яркие звезды, как бы свисающие с пояса, принято считать мечом легендарного охотника. На самом деле средняя звезда меча и не звезда вовсе, а огромное газовое облако, где прямо сейчас рождаются светила. Оно называется туманностью Ориона. Многие звезды в созвездии Ориона горячие и молодые, они очень быстро эволюционируют и завершают свою жизнь колоссальными космическими взрывами — вспышками сверхновых. Они рождаются и умирают за время порядка нескольких десятков миллионов лет. Если с помощью компьютера мы резко ускорим течение времени в Орионе, нам откроется потрясающее зрелище: многие из его звезд будут рождаться и умирать на наших глазах, мерцая и вспыхивая, подобно огням ночного салюта. (с. 296)

Поделиться:
Популярные книги

Черный маг императора

Герда Александр
1. Черный маг императора
Фантастика:
юмористическая фантастика
попаданцы
аниме
5.00
рейтинг книги
Черный маг императора

Печать мастера

Лисина Александра
6. Гибрид
Фантастика:
попаданцы
технофэнтези
аниме
фэнтези
6.00
рейтинг книги
Печать мастера

Я Гордый часть 2

Машуков Тимур
2. Стальные яйца
Фантастика:
фэнтези
попаданцы
аниме
5.00
рейтинг книги
Я Гордый часть 2

Я до сих пор не царь. Книга XXVII

Дрейк Сириус
27. Дорогой барон!
Фантастика:
юмористическое фэнтези
аниме
попаданцы
5.00
рейтинг книги
Я до сих пор не царь. Книга XXVII

Петля, Кадетский Корпус. Книга четвертая

Алексеев Евгений Артемович
4. Петля
Фантастика:
боевая фантастика
попаданцы
аниме
5.00
рейтинг книги
Петля, Кадетский Корпус. Книга четвертая

Кодекс Охотника XXXI

Винокуров Юрий
31. Кодекс Охотника
Фантастика:
попаданцы
аниме
фэнтези
5.00
рейтинг книги
Кодекс Охотника XXXI

Император Пограничья 10

Астахов Евгений Евгеньевич
10. Император Пограничья
Фантастика:
городское фэнтези
аниме
фантастика: прочее
попаданцы
5.00
рейтинг книги
Император Пограничья 10

Звездная Кровь. Изгой

Елисеев Алексей Станиславович
1. Звездная Кровь. Изгой
Фантастика:
боевая фантастика
попаданцы
рпг
5.00
рейтинг книги
Звездная Кровь. Изгой

Погранец

Поселягин Владимир Геннадьевич
2. Решала
Фантастика:
фэнтези
боевая фантастика
альтернативная история
5.00
рейтинг книги
Погранец

Вторая жизнь майора. Цикл

Сухинин Владимир Александрович
Вторая жизнь майора
Фантастика:
героическая фантастика
боевая фантастика
попаданцы
5.00
рейтинг книги
Вторая жизнь майора. Цикл

Третий. Том 2

INDIGO
2. Отпуск
Фантастика:
космическая фантастика
попаданцы
5.00
рейтинг книги
Третий. Том 2

Двойник Короля 10

Скабер Артемий
10. Двойник Короля
Фантастика:
аниме
фэнтези
фантастика: прочее
попаданцы
5.00
рейтинг книги
Двойник Короля 10

Газлайтер. Том 10

Володин Григорий
10. История Телепата
Фантастика:
боевая фантастика
5.00
рейтинг книги
Газлайтер. Том 10

Стеллар. Трибут

Прокофьев Роман Юрьевич
2. Стеллар
Фантастика:
боевая фантастика
рпг
8.75
рейтинг книги
Стеллар. Трибут