Чтение онлайн

на главную - закладки

Жанры

Шрифт:

Пожалуй, наиболее ярко об этом свидетельствует «успех» канадской элодеи, впервые обнаруженной в Ирландии в 1836 г. У себя на родине эта элодея представлена мужскими и женскими растениями, т. е. ей вполне свойственно половое размножение, кроме того, каждое растение (точнее, любой фрагмент его стебля с несколькими мутовками) способно к неограниченному росту и ветвлению. Завезенный в Европу женский экземпляр, размножаясь только вегетативно, породил столько потомков, что их биомасса вскоре стала мешать судоходству в каналах Англии. В настоящее время канадская элодея уже достигла рек и озер Восточной Сибири. Сила этого единственного генотипа отражена в названии, данному растению в Европе, — «водяная чума». Правда, сейчас его мощь явно ослабела, вероятно, стал сказываться мутационный груз, для сброса которого нужен половой процесс.

По-видимому, главное, что несет в себе типичная особь вида, заключается в скорости, с которой организм в конкретных условиях среды воспринимает извне вещество и энергию, преобразуя их в биомассу потомков. Что же определяет эту скорость? Очевидно, только мощность рабочих структур типичной особи. Напомним, что в гл. 2 мы определили такую мощность, как объем работы, выполняемой структурой за единицу времени в режиме максимальной нагрузки. При ухудшении среды мощность какой-то рабочей структуры может оказаться недостаточной, поэтому численность вида и его ареал сократятся, и восстановить их будет возможно, лишь усилив мощность лимитирующей структуры, ставшей фактически одной из главных компонент приспособленности. Выходит, абсолютную приспособленность вида можно было бы выразить в единицах мощности.

В данной ситуации мутации, повышающие мощность лимитирующей структуры, очевидно становятся благоприятными, так как они повышают уровень относительной приспособленности их носителей. Поэтому коэффициент отбора ( s) в пользу этих мутаций должен быть близок к относительному приросту мощности лимитирующей структуры, во всяком случае, он должен быть ему пропорционален, т. е.

(5.3)

где Р' — мощность структуры у особей — носителей благоприятной мутации; Р— мощность той же структуры у средней особи популяции. Фактически это означает, что фиксация каждой благоприятной мутации увеличивает мощность лимитирующей структуры в некоторое число раз (на какой-то процент). При продолжающемся ухудшении среды продолжается и процесс накопления благоприятных мутаций. В итоге мощность лимитирующей структуры нарастает вдоль филетического маршрута как ряд:

(5.4)

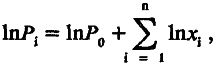
где Р 0мощность структуры до начала действия движущего отбора; x i— число раз, в которое увеличивается мощность структуры в ходе фиксации i– й мутации. Это как раз те «незначительные изменения», аккумуляция которых, по выражению Дарвина, ведет к созданию органа «любой мыслимой степени совершенства».

Заметим, что логарифм мощности структуры (ln P) после фиксации и благоприятных мутаций определяется равенством

(5.5)

где стоящий под знаком суммы ln x iпредставляет собой вклад i– й благоприятной мутации в логарифм мощности рабочей структуры; для удобства дальнейшего изложения этот вклад будем обозначать а i'.Если единицей измерения мощности рабочей структуры выбрать ее исходную величину Р 0, то (учитывая, что lnl = 0) уравнение (5.5) можно представить в более простой форме:

(5.6)

Напомним, что а i' — вклад i– й мутации, зафиксированной отбором, направленным на усилениелимитирующей структуры.

Теперь введем одно определение: локусы, по которым шло замещение новых аллелей, повышающих мощность структуры в ее историческом развитии, назовем специальнымигенами структуры. Вполне очевидно, что некоторые из этих генов могут повторно мутировать, порождая новые аллели, усиливающие лимитирующую функцию. Таким образом, среди nблагоприятных мутаций, зафиксированных движущим отбором, далеко не все связаны с увеличением числа специальных генов N.

Представим себе, что изменение среды приняло противоположное направление. В новых условиях мощность структуры, развитой за предыдущий период, может стать избыточной, поэтому ничто не будет препятствовать накоплению мутаций, ослабляющих экспрессию ее специальных генов. Более того, энергия и вещество, которые ранее расходовались на поддержание высокой мощности этой структуры, теперь могут быть направлены на создание дополнительной биомассы, т. е. на повышение абсолютной приспособленности вида. Таким образом, ослабление рабочей структуры в данном случае представляет собой адаптивный ответ вида на «требование» изменившейся среды. Через некоторое время новая среда может снова потребовать усиления функции той же структуры, и снова благоприятными станут мутации, усиливающие экспрессию ее специальных генов.

Таким образом, для вида, предки которого прошли через многократные изменения требований среды к интенсивности функции определенной рабочей структуры, логарифм ее мощности можно представить в виде суммы вкладов Nспециальных генов, где вклад каждого такого гена (его экспрессия) ( а) может изменяться от нуля до какого-то максимального значения, т. е.

(5.7)

Это выражение удобнее представить в несколько иной форме:

ln P = Na,(5.8)

где а— уровень средней экспрессии специального гена, т. е. его средний вклад в логарифм мощности рабочей структуры. У разных видов аможет варьировать в очень широком диапазоне: от нуля, когда все специальные гены «выключены», до величины, соответствующей уровню их максимальной активности. Ясно, что уровень средней экспрессии специального гена рабочей структуры зависит от предыстории вида, от того, как долго среда «требовала» от предков усиления мощности структуры и как долго была к ней безразлична или даже «ждала» ослабления.

Пусть мы имеем дело с совокупностью родственных видов одной филетической группы. Рассмотрим у них какую-нибудь гомологичную структуру с одной и той же функцией. У каждого вида (в соответствии с (5.8)) логарифм мощности структуры равен произведению Na.Теперь перейдем к среднему (для видов филетической группы) логарифму мощности структуры (<ln P>), т. е. от каждого вида возьмем значение логарифма мощности структуры ее типичной особи, полученные величины сложим, а их сумму разделим на число видов в группе. В теории вероятностей доказывается, что среднее значение произведения независимо варьирующих сомножителей равно произведению их средних значений. Следовательно, средневидовой логарифм мощности структуры будет равен средневидовому уровню экспрессии ее специальных генов (< а>), умноженному на среднее число этих генов у одного вида (< N>), т. е.

Поделиться:
Популярные книги

Герой

Бубела Олег Николаевич
4. Совсем не герой
Фантастика:
фэнтези
попаданцы
9.26
рейтинг книги
Герой

Кодекс Охотника. Книга XVII

Винокуров Юрий
17. Кодекс Охотника
Фантастика:
фэнтези
попаданцы
аниме
5.00
рейтинг книги
Кодекс Охотника. Книга XVII

Кай из рода красных драконов 4

Бэд Кристиан
4. Красная кость
Фантастика:
фэнтези
попаданцы
5.00
рейтинг книги
Кай из рода красных драконов 4

Имя нам Легион. Том 3

Дорничев Дмитрий
3. Меж двух миров
Фантастика:
боевая фантастика
рпг
аниме
5.00
рейтинг книги
Имя нам Легион. Том 3

Мое ускорение

Иванов Дмитрий
5. Девяностые
Фантастика:
попаданцы
альтернативная история
6.33
рейтинг книги
Мое ускорение

Второгодка. Книга 2. Око за око

Ромов Дмитрий
2. Второгодка
Фантастика:
героическая фантастика
альтернативная история
фэнтези
5.00
рейтинг книги
Второгодка. Книга 2. Око за око

Законник Российской Империи. Том 2

Ткачев Андрей Юрьевич
2. Словом и делом
Фантастика:
городское фэнтези
альтернативная история
аниме
дорама
6.40
рейтинг книги
Законник Российской Империи. Том 2

Золотой ворон

Сакавич Нора
5. Все ради игры
Фантастика:
зарубежная фантастика
5.00
рейтинг книги
Золотой ворон

Мой муж – чудовище! Изгнанная жена дракона

Терин Рем
Любовные романы:
любовно-фантастические романы
5.00
рейтинг книги
Мой муж – чудовище! Изгнанная жена дракона

Второй кощей

Билик Дмитрий Александрович
8. Бедовый
Фантастика:
юмористическое фэнтези
городское фэнтези
мистика
5.00
рейтинг книги
Второй кощей

Бастард Императора

Орлов Андрей Юрьевич
1. Бастард Императора
Фантастика:
фэнтези
аниме
5.00
рейтинг книги
Бастард Императора

Дважды одаренный. Том VI

Тарс Элиан
6. Дважды одаренный
Фантастика:
аниме
альтернативная история
фэнтези
фантастика: прочее
5.00
рейтинг книги
Дважды одаренный. Том VI

Деревенщина в Пекине 3

Афанасьев Семен
3. Пекин
Фантастика:
попаданцы
дорама
5.00
рейтинг книги
Деревенщина в Пекине 3

Система Возвышения. (цикл 1-8) - Николай Раздоров

Раздоров Николай
Система Возвышения
Фантастика:
боевая фантастика
4.65
рейтинг книги
Система Возвышения. (цикл 1-8) - Николай Раздоров