Чтение онлайн

на главную - закладки

Жанры

Чудо-мальчик
Шрифт:

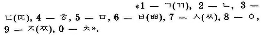
Тогда получалось, что каждой цифре от 1 до 10 соответствует своя буква:

После распределения цифр таким образом для лучшего запоминания их надо связать с каким-нибудь образом и сохранить в воображаемом пространстве в голове. Например, 1592 год, год японского вторжения, можно представить в виде картины

[38] , по первым буквам слов можно составить нужное число:
[39] . Если вы хотите встретиться с кем-то четвертого ноября 1974 года, в два часа дня, то это можно вообразить в виде следующей сцены:
[40] .

38

Черный конь, связанный пальмовым деревом.

39

Если взять первые буквы слов, получим, что соответствует цифрам 1592 соответственно.

40

Кашляющаяся старуха ложится, сердясь на черного медведя — яркий образ, позволяющий легко запомнить сцену и, соответственно, вспомнить цифры. К сожалению, в переводе не удалось сохранить порядок цифр, существующий в оригинале текста.

Что касается него самого, то для выступления по телевизору он выучил число с тысячей цифр после десятичной запятой. Я думаю, что оно, вероятно, было самым красивым числом в мире [41] .

[К сожалению, в переводе не удалось сохранить картину, соответствующие тем цифрам, которые есть в корейском тексте, где первая буква каждого слова в стихотворении обозначает какую-нибудь цифру.

Пальмовое дерево, смутно вырисовывающееся во дворе в виде тени зяблика. Эй, душа, тянущаяся всей длиной к голосу ночи! Давным-давно кто-то шел по лесной тропинке и, слушая печальный свист, гладил свои красные брови, вспоминая далекое жаркое лето. В водах медленно текущего ручья, треща, собираются кряквы и пустельги и смотрят вверх мутным взглядом. Темно-синее внимательное время обходит темный круг глубокой ночи, словно в дреме. Первые слова беззаботно летящих облаков: «Недобрые глаза плачут холодом…» Бесполезное сожаление — след ушедшей надежды. На карте души, разбросанной как попало, сорвавшееся ледяное дыхание. На скамейке летнего парка одна, опьянев, поет песню: «Вчера выпал дождь, я с бывшей любимой расстался навсегда». Вспоминая снова ночной поцелуй, рукой, испачканной в земле, коснулся твоего лба. Снова выпавший стойкий осенний белый иней. Усердие первого снега и честность нового года…]

41

Для запоминания девяти цифр, следующих после запятой в числе , 3,14 159 265, есть скороговорка: «Чтобы запомнить число „пи“ надо просто повторять: три, четырнадцать, пятнадцать, девять, два, шесть, пять, три, пять».

Так как в каждом слове первая согласная буква означает цифру, то выучить такую строку равносильно тому, чтобы выучить первые сто цифр после десятичной запятой. Например, первые одиннадцать цифр числа 3,1 415 926 535 представлены фразой

Поэтому, чтобы запомнить тысячи цифр после десятичной запятой, ему требовалось не больше десяти минут. Числа, образованные таким образом, он размещал по порядку в организованном в сознании пространстве памяти.

В случае необходимости можно было создать несколько подобных зон. Например, дела, которые надо было выполнить, он сохранял в своем воображаемом доме. А чтобы не забыть страницу, на которой остановился, он придумывал такую вот картину:

[42] . Когда стихнет тот шторм? Вероятно, он стихнет, когда я дочитаю до конца «Холм штормов» со сто шестьдесят седьмой страницы, на которой закончил читать, закрыв книжку.

Если таким способом передвигаться по воображаемому дому, становятся видны разные дела, которые ждут своего выполнения. Например, напоминание о том, что следует заняться английским языком, он представлял в таком образе:

[43] Выучив ежемесячное расписание поездов национальной железной дороги и очередность всех тридцати одной станции метро, находящихся на первой ветке, он сохранил все это в том же воображаемом доме. Когда у него появлялось время, он, одетый в яркую одежду, ехал на поезде в построенном сознанием пространстве, разглядывал людей, стоящих на платформе, и просматривая список дел.

42

43

В том доме сидевшие на диване хризантемные хлеба размером с человеческий рост кричали, споря между собой о том, кто из них более горячий, а на кухне Оливия Хасси, известная британская киноактриса, в купальнике заучивала английские слова.

Самой сложной в его мире воспоминаний была улица «Памятный Сеул 1974 года». На ней он расположил все уголки города, выученные в деталях — от перекрестка Кванхвамун до улицы Чжонно 5. Это была воображаемая улица, с трудом построенная им в течение одного года. Все, включая вторые и третьи этажи зданий, магазины, дома, деревья, пешеходные переходы, продавцов киосков и даже уличных торговцев вразнос, которых всегда можно было там увидеть, — разместилось у него в голове.

После того как он выучил Сеул 1974 года, какой бы длинной ни была фраза или беседа, он мог точно воспроизвести ее, не ошибаясь даже в окончаниях слов. Когда он заполнил эту воображаемую улицу образами, он получил возможность в любое время бродить по ней. Занять первое место в «Студенческой викторине» для него было проще пареной репы.

Начиная с 1975 года он стал бывать у нас дома субботними вечерами. Когда он приходил, отец уводил его в библиотеку. Я всегда удивлялась: как может так долго длиться разговор между учеником десятого класса средней школы и высокопоставленным правительственным чиновником?

Обычно их беседы продолжались более двух часов, но однажды они общались, не прерываясь, до глубокой ночи. То, что он столько времени проводил в разговорах с отцом, который в обычное время был холодным и неприветливым, делало его выдающимся человеком в моих глазах.

Однажды отец, поднявшись в мою комнату на втором этаже, велел мне, чтобы я спустилась. Когда я сошла вслед за ним, то увидела того самого юношу, стоявшего во дворе.

— Вон твой приятель хочет что-то сказать тебе, выйди и поговори с ним, — попросил отец.

Надев шлепанцы, я вышла во двор.

В те дни долгое и жаркое лето уже подходило к концу. Ночи уже захватила осень.

— Двадцать четыре градуса по Цельсию, — сказал он.

— Что? — переспросила я.

— Я говорю, что ночь совсем не жаркая — всего двадцать четыре градуса, — ответил он. — Ты помнишь, мы встретились в прошлом году у похоронного бюро?

Я кивнула.

— Тогда со мной были друзья, ты помнишь это? — уточнил он. Я снова кивнула.

— Ты помнишь, сколько тогда было человек? — продолжил он, смущаясь.

Я ответила, что у меня не настолько хорошая память. Он объяснил, что у одного из его друзей, которые видели меня тогда, есть просьба ко мне.

— Что за просьба? — удивилась я.

Вместо ответа он, произнеся: «Посвящается Хисон», начал невнятно читать вслух чье-то письмо. Оно было словно написано ребенком: в нем встречались строки, списанные с чьих-то стихов, отрывки из какого-то рассказа, в котором автор не мог точно выразить свои чувства и путано, как умел, писал о любви.

Не знаю, что я испытывала бы, если бы сама читала письмо, но на слух оно показалось мне каким-то глупым. Честно говоря, я была разочарована. Продекламировав весь текст, он добавил:

— Письма у меня нет, я не взял его с собой. Ответ можно дать мне сейчас, здесь. У меня хорошая память, поэтому неважно, насколько длинным он будет.

— Нет необходимости запоминать. Ответа не будет. Я слышала, что вы обладаете феноменальной памятью, но не знала, что вы тратите ее на заучивание писем каких-то детей, — сказала я и отвернулась.

В тот момент он, быстро схватив мою руку, произнес:

— Меня зовут Ли Сухён. Тебе надо запомнить только мое имя.

— Зачем? — поинтересовалась я.

— Потому что я стану знаменитым, — ответил он хвастливо.

— Станете знаменитым? — переспросила я.

— Да, — подтвердил он гордо, — люди всего мира запомнят мое имя. Его напечатают в каждой газете. Не будет в мире человека, которому не будет известно мое имя. Именно такой мужчина может соответствовать тебе. Поэтому ты должна будешь всегда помнить меня.

Поделиться:
Популярные книги

Японский городовой

Зот Бакалавр
7. Героями не становятся, ими умирают
Фантастика:
фэнтези
попаданцы
5.80
рейтинг книги
Японский городовой

Кодекс Охотника. Книга XXXIV

Винокуров Юрий
34. Кодекс Охотника
Фантастика:
аниме
фэнтези
попаданцы
5.00
рейтинг книги
Кодекс Охотника. Книга XXXIV

Законы Рода. Том 9

Андрей Мельник
9. Граф Берестьев
Фантастика:
городское фэнтези
попаданцы
аниме
дорама
фэнтези
фантастика: прочее
5.00
рейтинг книги
Законы Рода. Том 9

Воевода

Ланцов Михаил Алексеевич
5. Помещик
Фантастика:
альтернативная история
5.00
рейтинг книги
Воевода

Инженер Петра Великого 3

Гросов Виктор
3. Инженер Петра Великого
Фантастика:
попаданцы
альтернативная история
5.00
рейтинг книги
Инженер Петра Великого 3

Старый, но крепкий 5

Крынов Макс
5. Культивация без насилия
Фантастика:
рпг
аниме
уся
фэнтези
5.00
рейтинг книги
Старый, но крепкий 5

Весь цикл «Десантник на престоле». Шесть книг

Ланцов Михаил Алексеевич
Десантник на престоле
Фантастика:
альтернативная история
8.38
рейтинг книги
Весь цикл «Десантник на престоле». Шесть книг

Горизонт Вечности

Вайс Александр
11. Фронтир
Фантастика:
боевая фантастика
космическая фантастика
космоопера
5.00
рейтинг книги
Горизонт Вечности

Петля, Кадетский Корпус. Книга четвертая

Алексеев Евгений Артемович
4. Петля
Фантастика:
боевая фантастика
попаданцы
аниме
5.00
рейтинг книги
Петля, Кадетский Корпус. Книга четвертая

Хозяин оков VI

Матисов Павел
6. Хозяин Оков
Фантастика:
фэнтези
попаданцы
гаремник
5.00
рейтинг книги
Хозяин оков VI

Эволюционер из трущоб. Том 9

Панарин Антон
9. Эволюционер из трущоб
Фантастика:
попаданцы
аниме
фэнтези
фантастика: прочее
5.00
рейтинг книги
Эволюционер из трущоб. Том 9

Бояръ-Аниме. Газлайтер. Том 33

Володин Григорий Григорьевич
33. История Телепата
Фантастика:
боевая фантастика
попаданцы
аниме
5.00
рейтинг книги
Бояръ-Аниме. Газлайтер. Том 33

Барону наплевать на правила

Ренгач Евгений
7. Закон сильного
Фантастика:
боевая фантастика
попаданцы
аниме
5.00
рейтинг книги
Барону наплевать на правила

Школа пластунов

Трофимов Ерофей
Одиночка
Фантастика:
боевая фантастика
5.00
рейтинг книги
Школа пластунов